RETHINKING COST-SHARING POLICIES: ENHANCING CHRONIC DISEASE MANAGEMENT FOR DISADVANTAGED POPULATIONS
创建于 更新于
摘要
本研究基于中国农村医保数据,构建患者权衡住院和门诊两类医疗服务的结构模型,发现弱势群体更偏向通过降低费用驱动医疗选择,忽视预防性门诊服务。当前侧重降低住院费用的反贫困医保政策虽减轻了经济负担,却显著抑制了弱势群体门诊利用,反而提高了整体医疗支出和患者福利损失。模型预测,针对门诊降低费用的政策更加成本有效,能促进门诊利用并提升患者福祉,为精准调整医保激励机制提供理论与实证依据。[page::0][page::3][page::29][page::31]
速读内容
研究背景与问题提出 [page::0][page::1]
- 慢性病负担加重,弱势群体医疗负担重且健康结果差。
- 本文聚焦慢性病管理中的住院和门诊医疗服务利用差异及反贫困医保政策效果。
- 选取中国西部农村居民医保数据,涵盖2018-2020年,观察包含疾病诊断、医疗费用、费用分担及患者特征。
医疗利用差异与因子分析 [page::9][page::10][page::13][page::14]

- 高血压和糖尿病是门诊利用的主导诊断 (分别占59.8%和12.5%)。
- 弱势群体使用门诊概率较低,尤其是病情轻者,随着疾病严重程度提升差异缩小。
- 回归结果显示弱势患者使用门诊的概率低约28%,而随病情加重概率提升更显著。

反贫困医保政策冲击分析 [page::15][page::16]
| 医疗机构类型 | 弱势群体住院费用分担降低比例 |
|-----------|--------------------|
| 乡镇卫生院及中医医院 | 超过40% |
| 县级医院 | 超过40% |
| 非本地三级医院 | 超过40% |
- 2020年反贫困政策致使弱势病人住院自付费用大幅降低。
- 差异中介模型显示住院费用减少使弱势病人门诊使用降低约6个百分点,超过24%的平均水平,且对于严重病人影响更明显。
- 费用转移效应:住院服务变相相对便宜,抑制门诊利用,导致整体医疗支出上升。
结构模型与参数估计 [page::17][page::19][page::23][page::26]

- 构建患者效用模型,权衡疾病预防价值(权重γ)与医疗费用支出。
- 正权重患者(多为常规患者)更重视预防,较轻病情即使用门诊;负权重患者(多为弱势)更重视经济成本,仅在病情严重时使用门诊。
- 参数估计显示常规户γ=正值,弱势户γ=负值,弱势患者只有在门诊能节省约535元时才会选择门诊。
- 门诊的机会成本(时间、收入损失)普遍显著,高收入和男性患者机会成本更高,弱势患者机会成本较低。
政策模拟与反思 [page::29][page::30]
- 现行医保政策导致弱势群体门诊使用减少23.1%,医疗费用上升约290元,人均福利下降46.2%。
- 两种政策模拟对比:
- A策略:降低门诊费用负担20%,使门诊利用提升16.9%,医疗总费用下降。
- B策略:提供出行补贴,每人RMB 200,门诊利用提升6.9%,但效果和成本效益不及A策略。
- 政府额外支出均低于对应节省的医疗费用,均具成本收益优势。
- 综合建议:降低门诊费用分担是更为有效的促进弱势群体医疗服务利用的政策手段。
研究贡献及局限 [page::31]
- 探明不同社会经济群体医疗利用差异和医保激励机制的效用。
- 强调门诊与住院费用政策协调的重要性,避免“政策错配”导致医疗资源使用效率下降。
- 仅限于住院患者,未来考虑广泛慢病患者及城市弱势群体。
深度阅读
研究报告详尽分析报告
---
1. 元数据与报告概览
报告标题:
RETHINKING COST-SHARING POLICIES: ENHANCING CHRONIC DISEASE MANAGEMENT FOR DISADVANTAGED POPULATIONS
作者:
Dan Jia 和 Pai Xu
发布机构和时间:
文中未直接提及具体机构和发表时间,但数据与政策背景集中于2018-2020年间中国西部某农村县域。
研究主题:
健康保险成本分摊政策对慢性病管理,特别是弱势群体在院内(住院)与院外(门诊/基层医疗)服务选择上的影响。
核心论点和结论:
- 慢性病日益普遍,给贫困减缓、健康公平及医疗成本控制带来巨大挑战。
- 弱势群体在慢性病治疗上,会更注重医疗费用的节约,尤其倾向于避免非必要的门诊护理,除非医疗支出可以显著降低。相比之下,一般人口更愿为预防疾病恶化,积极使用门诊护理,即使需支付更高成本。
- 现行主要针对住院费用减免的反贫困保险项目,虽降低了住院费用负担,但反而使弱势群体门诊使用减少约23%,导致总体医疗支出上升,患者福利显著下降(46.2%)。
- 反事实分析表明,降低门诊护理的费用分摊比单纯提供交通补贴更有效、更具成本效益,有助提升弱势群体健康和福利。
关键词涵盖不平等、医保、成本分摊政策和医疗利用等。[page::0][page::1][page::3][page::30][page::31]
---
2. 逐节深度解读
2.1 引言(第1-2页)
慢性病在全球是导致死亡和医疗支出的主因,弱势群体承受更重病负和财务压力。为减轻弱势群体的医疗费用,不同国家实施医保扩面及降低住院费用分摊政策(如美国Medicare/Medicaid、中国农村居民医保)。然而,多数政策聚焦住院费用减免,可能导致“替代效应”:住院费用降低,门诊服务反而被放弃,影响疾病早期管理,加重整体费用和健康负担。文章明确提出两大研究问题:
- 弱势群体与普通群体在院内外医疗选择上是否存在差异?
2. 反贫困计划如何通过降低住院费用影响弱势群体的医疗使用和成本?
研究利用中国某农村县的医保理赔数据(覆盖99%县域居民),详尽记录医疗费用、诊断和患者特征。通过制度背景中患者直接可访问医院门诊和住院服务,极大减少了供给端和质量差异对需求选择的干扰,为实证分析奠定坚实基础。[page::1][page::2]
2.2 研究背景与院内外医疗替代机制(第2-3页)
选择心血管疾病(CVD)患者作为典型慢性病群体,因其病死率高、经济负担大,且CVD属于门诊敏感疾病,早期门诊管理能有效降低入院率和费用。数据揭示,弱势患者只有当病情严重时才会增加门诊服务使用(减少治疗恶化风险、节省住院费用),而普通患者即使病情较轻也有较高的门诊利用。形成明显“使用差距”,提示患者对门诊和住院的权衡存在显著差异。
基于此,作者构建模型,将患者对“疾病恶化预防”和“医疗费用节约”两种动机的权重用参数$\gamma$表达,假设该权重在不同群体中差异显著,并利用二项Logit模型估计他们的偏好参数。[page::2][page::3]
2.3 反贫困政策对医疗利用的影响(第3,14-16页)
2020年地方政府推行新的反贫困医保计划,针对弱势群体住院费用分摊降低40%以上。作者利用差异中的差异法(DiD)比较政策前后及弱势群体/一般群体医疗利用变化,发现:
- 弱势患者住院费用分担降低导致其门诊利用减少6个百分点,降幅约占基线门诊利用的24.3%。
- 该效应在病情严重的弱势患者中更为明显,甚至某些严重群体门诊使用率降为零。
- 这表明住院费用降低相对提高了门诊的相对成本,出现负替代效应,弱势群体更倾向于“放弃”门诊服务。
统计表5与表4清晰数据支撑上述结论。[page::14][page::15][page::16]
2.4 经济模型框架构建(第17-21页)
模型核心为患者权衡“提前使用门诊预防疾病进展”和“直接住院”的收益和成本:
- $Ui = [P{i,0}^{hc}(\thetai) - P{i,1}^{hc}(\thetai)] + \gammai (1-\thetai) - [Pi^{pc}(\thetai) + Ti]$
其中:
- $P{i,0}^{hc}$为不使用门诊时住院成本,$P{i,1}^{hc}$为使用门诊后住院成本,二者差异即门诊的直接经济节省;
- $\gammai$是患者对疾病恶化预防的重视权重,代表非经济因素对利用决策的影响;
- $Ti$为患者使用门诊的其他成本(时间、交通等机会成本)。
此框架揭示了患者医疗决策的两大动因:成本节省与健康维护,构成了截然不同的行为模式。正权重患者(多为普通群体)更早使用门诊,负权重患者(弱势群体)则在病情严重后才考虑门诊。
加上医保制度的成本分摊因素,模型调整为门诊与住院费用分摊比例的函数,分析了政策调整对患者行为的边际影响。模拟图(图3和图4)形象说明,不同权重和医保费用结构显著影响患者的门诊需求决策。
这一模型是对医疗经济学中成本效益权衡的结构化描述,为后续实证估计提供理论基础。[page::17-21]
2.5 参数估计(第22-28页)
2.5.1 医疗费用与疾病严重度的估计
通过对医疗理赔数据,分别回归门诊与住院费用对疾病严重度的函数,估计参数$\alpha$、$\beta$及门诊对住院费用降低效果$\lambda$。
- 结果显示,住院费用对疾病严重度的敏感度$\beta = 1.489$大于门诊费用敏感度$\alpha = 0.882$,
- 使用门诊平均可降低住院费用约25.3%($\rho=-0.253$)。
- 不同级别医疗机构对住院费用也有显著影响,三级非本地医院费用最高。[page::23]
2.5.2 门诊利用决策的估计
基于二项Logit模型,利用患者疾病严重度、经济身份(弱势与否)、性别、收入、出行成本等特征估计权重参数$\gamma$和出行机会成本。
- 弱势患者$\gamma$显著为负(约-0.0166),反映其更看重节省医疗费用,不轻易选择门诊。
- 普通患者$\gamma$为正(约0.0225),偏向以预防健康恶化为优先。
- 旅行成本基准约占最大住院费用10%,高收入和男性患者的机会成本更高,约增加48.5%和11.6%。
- 社会经济地位、户籍(城市/农村)和少数民族身份细分后也表现权重差异:农村与少数民族弱势群体对于预防的权重更低,而少数民族身份提升了一定的预防意识(权重增加2.75倍)。
- 多种不同疾病严重度测量方法验证结果稳健。[page::25-28]
2.6 对反贫困政策的评估(第29-30页)
基于模型预测,报告对当前和替代政策进行了效果评估:
- 现行政策通过降低住院费用分摊,导致弱势患者门诊利用下降23.13%,使预期医疗总费用增加1.33%,患者福利减少46.23%。
- 替代政策模拟:
- A方案:降低门诊费用分摊20个百分点(相当于降低57.1%),
- B方案:提供每年200元的门诊交通补贴。
- 结果显示方案A的门诊利用提升16.49%,方案B提升6.88%。
- 方案A减少平均医疗费用3.2%,B方案减0.92%。
- 经济成本方面,方案A预算约32元/人,B方案30元/人,但分别可节约医疗费202元和69元,均具备极高成本效益。
- 方案A患者福利提升更大,整体建议优先采用降低门诊费用分摊的政策。
这些发现明确指出,政策设计应重视门诊费用分摊,而非只关注住院,以提高弱势群体的医疗使用效率和健康福利。[page::29-30]
---
3. 图表深度解读
3.1 图1:门诊利用按诊断分类(第9页)
描述:
饼状图显示慢性病患者门诊利用中,主要疾病分布,斯有59.8%为高血压(HTN),12.5%为糖尿病(T2D),其余包括癌症、肝病、精神疾病等。
解读:
此图突出慢病管理中,高血压和糖尿病占主导,反映研究重点对CVD的关注合理。门诊利用比例反映患者重视长期病情控制。
联系文本:
为焦点疾病类别,明确选取心血管疾病患者作为主研究对象基础。[page::9]
---
3.2 表1:医保方案参数(第7-8页)
| 保险类型 | 常规计划 | 贫困计划 |
|---|---|---|
| 年保费 | $35 | 免费 |
| 门诊 | 免赔额无,30%费用分摊,贫困人群额外50%医疗援助,实际平均约33.7% |
| 住院 | 不同医院级别分摊比例20%-50%,贫困计划相应降低,实际平均常规49.7%、贫困29.3% |
分析:
贫困计划显著降低住院分担比例(减少约40%),门诊分摊下降不明显,且辅以50%门诊援助,但总体门诊费用仍较高。该差异诱发住院相较门诊更受补贴,成为后续行为选择及成本替代的根源。
联系文本:
表明确政策是针对住院费用分摊减免,支持文章假说和实证切入点。[page::7-8]
---
3.3 表2:有无门诊患者特征对比(第10页)
主要差异包括:
- 使用门诊患者年龄更大(71.2vs68.5岁)
- 使用门诊女性比例更高(需结合性别统计)
- 弱势患者使用门诊比例低(62.9% vs 79.8%非弱势)
- 距离远患者门诊使用少
- 疾病严重度无显著差别
- 使用门诊患者住院费用更低,提示门诊干预有成本和健康效益
意义:
差异体现弱势患者因财务和其他因素,倾向放弃门诊,且相同病情下门诊患者能降低住院费用,支持门诊干预价值论点。
[page::10-11]
---
3.4 表3 & 图2:门诊利用回归与预测(第13-14页)
- 弱势患者整体门诊几率低25%-28%,但严重病情患者门诊利用趋近普通群体。
- 旅行距离无显著影响,强调需求侧因素主导。
- 图示预测门诊利用率随病情加重,弱势群体由20%提升接近30%,普通群体由45%左右下降至30%左右,两者差距随重病缩小。
此图佐证患者$\gamma$权重不同理论,弱势患者倾向成本节约,轻症时减少门诊,重病时因避免高住院费用而增加门诊。经济模型的实际体现。[page::13-14]
---
3.5 表4: 政策变动前后住院费用分摊(第15页)
- 弱势群体住院费用分摊下降约10%~22.4%(具体院别不同),常规群体费率基本稳定。
- 为后续DiD分析的切入点,结构化反映政策对弱势群体住院成本的实质性降低。
[page::15]
---
3.6 表5: 减少住院费用对门诊利用的影响(第16页)
- 减少住院费用使弱势患者门诊使用概率下降约6个百分点(约24%),结果稳健,且效果对严重患者更明显。
- 解释为住院费用降低提高门诊相对价格,弱势患者“放弃”门诊,产生负替代效应。
[page::16]
---
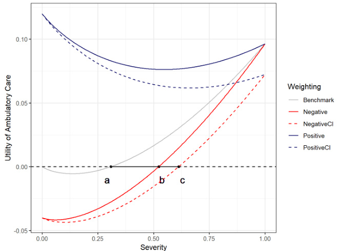
3.7 图3与图4(第19-21页)
- 图3展示$\gamma$权重不同患者对门诊效用随疾病严重度的变化,正权重患者轻症即有较高效用,负权重患者则是重症才能驱动门诊使用。
- 图4进一步引入医保政策中门诊/住院费用分摊比变化,显示费用分摊增加(门诊成本相对提高)普遍降低门诊效用,且对重症患者影响更大。
图形直观诠释行为选择和政策的机制效应。
[page::19-21]
---
3.8 表6-10:参数估计结果(第23-28页)
- 表6:医疗费用参数估计,$\alpha=0.882$,$\beta=1.489$,表明住院费用对病情敏感度更高,门诊介入能降低25.3%的住院费用。
- 表7、8、9:行为参数估计,弱势群体$\gamma$明显负,普通为正,出行成本中低收入女性最低,高收入和男性调整成本更大。户籍(农村)和少数族裔均负向影响病情预防权重,但少数民族对预防重视则有放大效应。
- 表10稳健性检验表明结果不受病情测量方法改变实质影响。
该系列表格构建了模型的核心参数,保证了实证和理论结合的信度和准确性。
---
3.9 表11与表12: 反贫困保险政策的福利分析与替代政策模拟(第29-30页)
- 表11量化当前反贫困政策在弱势患者中的副作用,门诊使用率显著下降,总医疗费用和患者福利双向恶化(福利下降46%)。
- 表12评估两种潜在改善方案:
- A方案显著提升门诊使用率(16.49%),并带来医疗费用显著节约(-0.92%),患者福利改善显著;
- B方案也有效但提升较弱;
- 成本对比显示两种方案均超额节约治疗费用,尤其方案A性价比最高。
该分析为政策调整提供清晰量化依据,凸显门诊成本分摊调整优先方向。
---
3.10 附录图5地图及表13医疗资源分布(第35页)
- 地图展示县域内医疗资源分布,绿色星标为基层医疗中心,黄旗为乡镇位置,红星为县中心及综合医院。交通不便,但基层门诊基本可达。
- 表13显示不同慢性病住院患者在设施上的分布,中重度疾病多向三级非本地医院转诊,反映当前县域医疗资源不足,支持提升基层门诊的重要性和必要性。
---
3.11 附录C:其他因素模型模拟图(第37-40页)
三个候选解释因素的模型构建与效用模拟均未能完全解释弱势群体门诊利用差异:
- 时间偏好(即时满足倾向)影响与数据不符;
- 症状显著性感知不足导致高估严重度效果不明显;
- 偏见性信念(对门诊效用的过高或过低估计)单独无力说明。
这些对比进一步凸显本文提出的权重差异($\gamma$)及医保政策设计的重要解释力。
---
4. 估值分析
本文无典型企业估值,但通过结构模型估计得到病情严重度对医疗费用的弹性参数$\alpha,\beta$,门诊减少住院率的效果参数$\lambda$,以及患者行为参数$\gamma$(预防权重)和出行成本参数。其估计基于医疗理赔的费用数据和患者医疗利用行为,结合医疗资源等级差异的固定效应。模型通过最大似然估计结合二项Logit门诊决策模块完成,结构明确,参数含义清晰。
核心估值是“患者为预防病情恶化所愿意承担的额外医疗费用”,对于非弱势群体约等于人民币725元,而弱势群体需要较大医疗成本节省(约人民币535元)才能促进门诊使用。
此外,医保计划中门诊与住院费用分摊比例的变化对病患行为影响清晰,进一步为政策影响评估提供理论依据。
---
5. 风险因素评估
报告中识别的主要风险因素包括:
- 政策设计风险: 过于聚焦住院费用减免,未考虑门诊服务的相对成本,导致弱势群体减少高价值的门诊预防性护理,引发整体医疗费用上升和患者福利下降。
- 疾病严重度测量风险: 虽采用多种测量方法并做稳健性检验,但实际不能完全排除医疗利用偏好对费用的影响,可能导致疾病严重度估计误差。
- 数据局限: 样本仅覆盖已住院的CVD患者,缺乏未就诊或未住院患者数据,限制了对门诊利用对总体病患群体的推广能力。
- 模型假设风险: 假设患者权重$\gamma$固定,且医保政策为外生,但现实中患者认知变化、其他社会支持政策等可能影响结果。
- 健康服务供应风险: 基层医疗资源有限,实际门诊服务能力与质量可能影响患者利用率及效果,但未在模型及政策分析中充分量化。
报告对这些风险均有不同程度的认识或部分解释,尤其强调需要谨慎将研究结果直接推广至其他地区和不同慢性病类别。[page::31][page::34][page::36]
---
6. 审慎视角与细微差别
- 方法论稳健性: 报告综合运用丰富的理赔数据,结合结构模型和计量经济方法,结果稳健,但依赖于病情严重度间接度量和患者门诊选择数据,潜在测量误差仍然存在。
- 群体界定细节: 将“弱势”定义为低收入及远程居民,涵盖人群广泛,但弱势群体内部异质性仍较大(文化、教育、社会支持各异),对$\gamma$权重的估计可能掩盖细节。
- 政策建议有限范围: 研究聚焦农村偏远地区慢性病患者,城市及其他慢性病类型适用性有限,未来需拓展。
- 社会文化因素: 民族文化和户籍差异对医疗利用的影响被捕捉为参数调整,但对根本行为认知机制尚未完全剖析。
- 替代解释控制充分: 附录明确覆核了时间偏好、症状注意力、偏见信念等因素的单独解释力,强化本文提出的病患权衡权重和医保费用安排组合解释的优势。
综合而言,报告逻辑严谨,数据扎实,结论可信,但仍应关注政策实施中的复杂交互效应与异质性空间。
---
7. 结论性综合
本研究基于中国农村地区大规模医保理赔数据,首创性系统揭示了弱势群体与普通群体在慢性病管理中院内外医疗服务选择上的显著差异。弱势患者更关注短期医疗费用节省,倾向于减少门诊利用,特别是在病情较轻时,降低了及时预防病情恶化的概率。当前反贫困医保政策着眼于降低住院费用分摊,虽缓解了病患重病时的经济压力,却导致门诊利用率大幅下降(降23%),反而推高了医疗总成本,并损害了患者福利。
结构模型清楚说明了患者医疗选择中“疾病恶化预防”和“费用节省”双重权衡的机制,基于模型预测的政策模拟表明,调整门诊费用分摊比提升住院补贴更具成本效益和健康改善效果。降低门诊费用分摊一项投资,带来可观的门诊利用率提高、医疗费用节约和患者福利增强,推荐优先采纳。
图表和数据体现了这种机制:
- 图1和表2明确慢性病门诊诊断构成和患者特征差异;
- 表3与图2反映了弱势患者门诊利用随疾病严重度变化的差异模式;
- 表4、表5及表11直观体现医保政策对费用负担及医疗利用的影响;
- 图3与图4生动展示权重参数和医保费用分摊对患者行为的决定作用;
- 表6至表10详细估计模型关键参数,保证理论与数据高度吻合;
- 表12政策模拟进一步指导实际政策制定。
研究不仅丰富了关于健康保险、成本分摊政策及弱势群体医疗需求异质性研究的学术文献,也为全球抗贫困和促进健康公平提供了具有实践指导价值的政策启示。未来研究建议扩大病种覆盖范围、纳入未住院患者、深化社会文化因素对医疗优先级影响的理解,以促进医疗资源更合理配置和公平利用。
---
总结: 本报告严谨地结合理论建模与丰富的实证数据,揭示了弱势群体在慢性病管理中对医疗服务的特殊行为模式及医保政策引发的意外后果。其对降低门诊费用分摊的政策推荐及详细成本效益分析,对中国及类似发展中国家的健康公平政策设计具有重要参考价值。[page::0][page::1][page::2][page::3][page::4][page::5][page::6][page::7][page::8][page::9][page::10][page::11][page::12][page::13][page::14][page::15][page::16][page::17][page::18][page::19][page::20][page::21][page::22][page::23][page::24][page::25][page::26][page::27][page::28][page::29][page::30][page::31][page::34][page::35][page::36][page::37][page::38][page::39][page::40]
---
附图展示
图1. 门诊利用诊断分布

图2. 按病情严重度预测的门诊利用概率

图3. 利用门诊的效用及权重参数影响

图4. 保险政策费用分摊比影响门诊效用

图5. 研究县域地理与医疗设施分布图
