The centripetal pull of climate: Evidence from European Parliament elections (1989–2019)
创建于 更新于
摘要
本论文利用1989年至2019年的高分辨率气温数据和欧洲议会选举结果,实证发现异常温暖天气显著降低了政党意识形态分化,推动选民向更中间、自由主义和社会民主党派集中支持,同时致使右翼支持下降。党派宣言中气候议题权重的提升,印证了气候冲击通过提高环境议题政治重要性影响选举格局的机制。这表明气候变化冲击可能促使党派体系向中间聚合,削弱极端派系的影响力 [page::0][page::1][page::5][page::6][page::8][page::10]。
速读内容
研究背景与数据来源 [page::1][page::2][page::3]
- 研究结合1989-2019年欧洲各区域的高分辨率气温数据与ParlGov数据库中欧洲议会党派选举数据。
- 使用NUTS-2区域层级,加权平均区域气温,进行温度分箱(日数计数)建模分析。
- 选取七次欧洲议会选举年份,计算党派票数集中度(HHI)和意识形态极化指标,用以刻画选举结构变化。
主要发现:温度冲击对政治极化和党派票仓的影响 [page::5][page::6][page::7]

- 异常高温天数显著增加政党票数集中度(HHI提高0.2到0.4点),降低意识形态极化(下降0.22至0.68点),强调投票向中间派聚拢。
- 自由主义党派和社会民主党获得显著增票,右派及农民党得票率呈下降趋势。
- 极端热天(30℃以上)下,自由派得票增幅显著,社会民主党增幅较弱,绿党得票反向下降。
区域历史温度差异影响效果异质性 [page::7][page::20][page::21]

- 在较暖区域,热天推动自由派和社会民主党支持上升,右派支持减弱,绿党和农民党亦有下滑。
- 历史较冷区域则表现出基督教民主党支持提升和保守党支持下降,进一步促成极化程度下降和票仓集中。
- 说明气温冲击效果受各地区适应性及历史气候基调影响。
政党策略调整与气候议题加权 [page::8][page::25][page::26][page::27]

- 自由主义和社会民主党在经历先前选举劣势的区域通过提升选举宣言中的气候议题权重来应对气温冲击,取得选票增长。
- 回归分析显示,气温升高显著促进这两党在宣言中增加气候保护内容的比例,提升其投票支持。
- 与之对比,保守党和基督教民主党在中度升温区间宣言中气候议题引用无显著改变,解释其选票无明显提升。
研究局限与未来方向 [page::10][page::11]
- 本研究聚焦欧洲议会选举且集中于温度冲击,未覆盖其他气候灾害和地方/国家选举层面。
- 对党派宣言数据主要涵盖主流政党,小党及新兴政党未充分纳入。
- 建议未来研究结合经济、健康、社会行为中介机制,扩大气候事件与政治行为的关联分析。
深度阅读
金融研究报告详尽分析报告
---
1. 元数据与概览
- 报告标题:The centripetal pull of climate: Evidence from European Parliament elections (1989–2019)
- 作者:Marco Dueñas, Hector Galindo-Silva, Antoine Mandel
- 所属机构:
- Marco Dueñas(Institute of Economics – Sant’Anna School of Advanced Studies, Pisa, Italy)
- Hector Galindo-Silva(Department of Economics, Pontificia Universidad Javeriana, Bogotà, Colombia)
- Antoine Mandel(Centre d’Economie de la Sorbonne – Paris School of Economics – CNRS-Universite Paris 1 Pantheon-Sorbonne, Paris, France)
- 三位作者均关联CLIMAFIN – Climate Finance Alpha, Paris, France,表明研究聚焦气候与金融的交叉
- 发布时间:文中无明确发布日期,但引用时间多在2024-2025年,属于近期研究
- 研究主题:探讨气候条件(尤其是温度冲击)如何影响欧洲议会选举的投票行为,重点在选举结果、党派极化及投票集中度的变动
核心论点及信息
报告通过结合1989至2019年欧洲议会选举数据与高分辨气候数据,分析温度异常变化对选民行为的影响。核心发现包括:
- 温度冲击减少意识形态极化,增加投票集中度,即选民趋向支持更大、更温和政党
- 自由派与社会民主党获得更多支持,尤其是自由派;右翼党派的得票率下降
- 政党宣言中对气候议题的重视程度随温度异常升高而增加,特别是自由派和社会民主党
总结:气候冲击对欧洲议会选举政治生态有中心化作用,削弱极端政党,促使政治重心向中间调和走势发展 [page::0, page::1, page::5, page::6, page::10]
---
2. 逐节深度解读
2.1 引言 (Introduction)
- 强调气候变化在当代政治中的核心地位,尤其在欧洲脉络下,欧洲议会选举由于统一制度框架和跨国异质性,适合探讨气候对政治行为的影响。
- 研究设计依托于温度异常(日均最高温度)在选举前年影响的“外生”变异,观察其对选举结果、极化和投票集中度的影响。
- 主要贡献在于揭示短期温度冲击如何影响政治极化和党派支持结构,且视角相较以往更聚焦中期选民行为变化,而非即时投票率或政府考评。
- 研究顺利地联系生态政治学、劳动市场政治学和气候经济学文献,论证气候议题正在逐渐成为欧洲政治竞争的重要内容 [page::1, page::2]
2.2 数据与方法
- 气象数据:源于Berkeley Earth Foundation,包含1880-2019年每日高分辨率温度与降水,聚合至NUTS-2地区(欧洲中观区划),按人口加权。人口数据分别来自ISIMIP和NASA,保证时空稳定性。
- 政治数据:采自ParlGov数据库,涵盖1989至2019七轮欧洲议会选举,聚合至NUTS-2层面,变量包括:
- 党派投票集中度:Herfindahl–Hirschman指数(HHI,投票份额平方和)
- 党派极化:基于专家评定的左—右定位指标,计算各党派对整体意识形态中心的加权离散度
- 党派家族得票率:根据经济和文化维度分类,分为共产主义/社会主义、绿党、社会民主、自民党、基督教民主党、农民党、保守党和极右派8类
- 计量策略:
- 建立带有区域和国家年份固定效应的面板回归,独立变量是选举前年各温度区间(日数)计数,基准温度区间为5℃-10℃
- 控制降水分布(分六档区间)、极端天气发生频率和强度、地区人口和GDP
- 利用温度短期波动的相对随机性质推断对政治结果的因果影响 [page::2, page::3, page::4, page::5]
3 主要发现
3.1 投票集中度和意识形态极化
- 回归结果显示,极端高温或低温均提高党派投票集中度(HHI指标),尤其是在15℃以上时更明显;即投票在更少、较大党派中集中。
- 与此同时,超过10℃的高温日数,与意识形态极化程度明显负相关,意味着极端政党支持下降,政治议题趋于中间温和。
- 这暗示气候温度冲击推动选民行为向政治中间靠拢,削弱极端党派的对立态势 [page::5, page::16, page::17]
3.2 按党派家族的投票率影响
- 自由党与社会民主党在温暖期获得选票提升,尤其自由党在极端高温下增幅更大(最高0.8个百分点),社会民主党在适中高温阶段有效。
- 极右和农民党得票率在高温下下降,且极端高温期绿党得票也有所下降。
- 基督教民主党和保守党无显著影响,显示温度冲击促发的是向政治中间自由派和社会民主党集中,而非传统保守阵营 [page::6, page::18, page::19]
3.3 历史气温异质性分析
- 在长期较暖区域(南欧如西班牙):
- 高温日数增加与自由党和社会民主党得票率上升显著相关,极右票源下降明显,绿党和农民党也受损。
- 在长期较冷区域(北欧如芬兰):
- 支持度转移更多表现为基督教民主党得票上升,保守党和农民党得票下降,极化下降主要源于中间偏右支持重塑。
- 归因于地区适应差异:温度冲击若突破常态区间,政治影响更强烈与系统性。
总结:温暖气候冲击统一选民向中心偏中间政党倾斜,但具体党派得益随地区历史气温异质而不同 [page::7, page::20, page::21, page::22, page::23]
4 机制探讨
4.1 温度冲击提升气候议题政治显著性
- 党派的策略反应展现出自由党和社会民主党在遭遇之前表现不佳选区,因温度震荡调增气候政策关注度,进而吸引选民。
- 通过分析党派宣言文本对气候议题的引用比例(来自Schwörer 2024数据集),发现自由党在宣言中对气候变化的提及最多,社会民主党其次。
- 结构性实证显示,温度较高时,这些党派提升气候保护方面的正面声明频率,强化了其选举优势。
- 基督教民主党和保守党在极端高温时段也体现类似但总体程度较弱,说明政治供应端调整是推动政治中心化的关键力量。
总结:气候相关温度冲击激发某些中间党派调整议程,加大气候政策曝光度,成功吸引中间偏温和选民,是减少极化和提升投票集中度的核心机制 [page::7, page::8, page::9, page::25, page::26, page::27]
4.2 替代解释及局限
- 报告识别了经济、健康、社会行为作为潜在间接机制:
- 经济受温度冲击影响,农产受损、劳动力分布变化、GDP波动或贫富差距扩张,触发选民调整偏好。
- 健康威胁(如热浪导致的死亡率提高)驱使选民偏好社会保障更强政党。
- 温度升高还可能引起情绪波动、暴力犯罪等社会问题,从而影响政治选择。
- 这些间接路径可能与气候议题显著性增加相辅相成,但现有分析因数据限制未能拆解独立效应。
- 同时,研究只聚焦欧洲议会选举和温度指标,未覆盖其他天气灾害及地域、选举多样性,未来拓展必要。
总结:研究视角主要聚焦政治算法和气候焦点,但须警惕且研究经济与社会健康等交叉通道的复合影响。[page::9, page::10, page::11]
---
3. 图表深度解读
3.1 表1:描述性统计
- 包括1500余个观察值,温度变量区间覆盖-25℃以下至35℃以上,日数分布集中在5-25℃之间,极端热或冷日均值接近0。
- 投票集中度(HHI)均值为0.19,极化均值约0.4,选票主要集中在社会民主(26.6%)、保守党(20.3%)、基督教民主(14.1%)和自由党(10.2%)。
- 极端天气事件发生概率约7%,但强度波动大(均值0.359,标准差6.947),区域人口平均约180万。
- 该统计表提供了后续回归分析的基础,数据显示温度、党派支持结构及极端事件变量的多样性和跨区域差异。[page::15]
3.2 图1:温度分布直方图

- 图(a)展示样本区域温度总体密度,峰值集中于5-10℃,间隔分布较均匀,极端温度偏少。
- 图(b)将日最高温度划分为14个5℃区间柱状,显示大多数人口经历的温度日数集中在10-20℃区间,极端低温和高温天数明显少。
- 该分布作为温度箱设计的依据,阐述研究对气候变量量化处理的基础来源。[page::16]
3.3 图2:温度对投票集中度和极化的影响

- 图(a)显示日最高温度偏高或偏低区域的党派投票集中度正向影响,尤其在15-35℃区间效果显著且稳定,提升约0.2-0.4点HHI。
- 图(b)表明温度提升伴随极化指数明显降低,尤其10℃以上范围,极化减少达0.2-0.7点,标志政治极端分裂缓和。
- 置信区间表明估计稳健,支持温度冲击驱动选民向中间集中论点。[page::16, page::17]
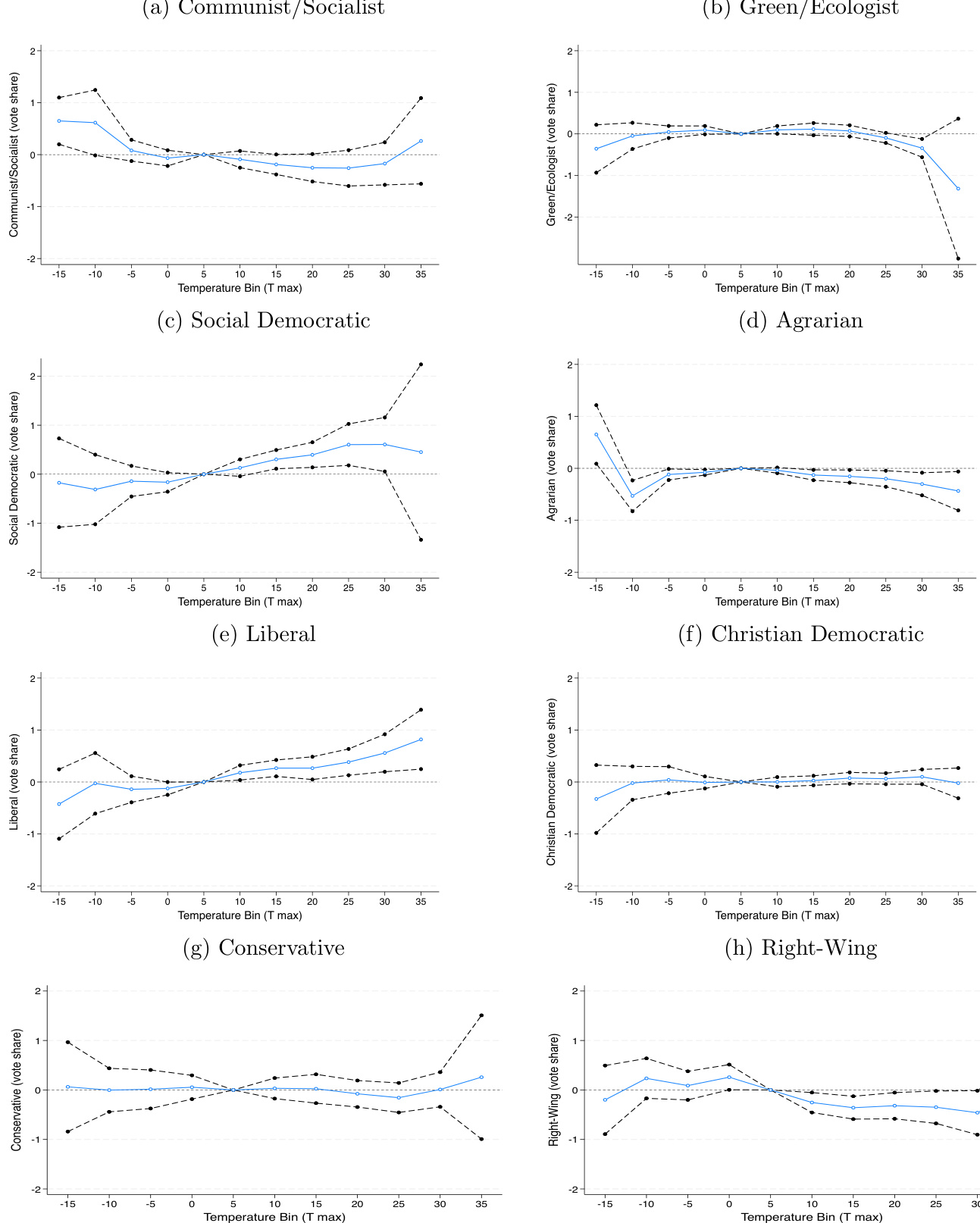
3.4 图3及表3:不同党派家族受温度影响的投票份额

- (图来自18页)自由党(e)与社会民主党(c)呈现明显正向趋势,特别是在极端高温区间投票份额升高。
- 极右(h)与农民党(d)表现逆向,得票率负面显著。
- 其他党派如基督教民主(f)、保守党(g)无显著变化。
- 表3定量系数进一步定量了此影响,显示在高温区间自由党增幅最大,极右党显著下降。
- 该图表明确解析了政治中间力量在气候变暖冲击下扩张,进一步支持中心化机制。[page::18, page::19]
3.5 图4及表4:历史气温分组后的差异影响

- 在较暖历史区,投票集中度对温度上升响应弱于冷区,但极化降低更显著,表明暖区温度上升更直接缓和分裂。
- 冷区中集中度提升更显著但极化效果较局限,反映不同适应背景下气候冲击政治表现不同。
- 表4数值系数精确展示该异质性,支持温度超出常态范围时的选民行为变化更加剧烈。[page::20, page::21]
3.6 表7与图5:党派气候议题调整与选票增长相关
- 表7显示随着温度冲击,先前表现较差的自由党和社会民主党得到显著支持提升,暗示其积极应对策略。
- 图5解析不同党派在党纲中对气候议题的提及比例,发现自由党最高,社会民主次之,基督教民主和保守党较低。
- 该图表和实证结合,展示党派策略调整是政治中心趋向的关键推手。[page::24, page::25]
3.7 表8和表9:温度对党纲中气候议题重量影响
- 对自由党和社会民主党,温度较高时对气候保护相关内容的正向引用增多,表明响应气候冲击调整政策表达。
- 基督教民主与保守党则在中温区无显著调整,极端高温时有有限影响,解释其缺乏选票提升的原因。
- 该证据细化了党派策略调整渠道与范围,支撑核心机制框架。[page::26, page::27]
---
4. 估值分析
本报告更多属于政治经济学领域的计量实证研究,不涉及传统金融资产估值。然而,研究的核心“估值”可看作对选举结果中党派支持“价值”的量化:
- 投票集中度提升系数(0.2-0.4)和极化指数下降系数(-0.2至-0.7)为政治“资产重组”量化描述。
- 具体党派支持率变化(0.2-0.8个百分点)可视为“市场份额”变更,影响党派整体政治资本评估。
- 下钻不同时段及历史气温的影响异质性分析等同于政策冲击对股价“敏感性分析”。
因此,报告通过精细统计模型与分层分析,实现了一种“政治价格”估值和影响机制解析,虽非典型金融估值方法,但体现稳健计量策略。
---
5. 风险因素评估
- 模型识别风险:基于温度冲击的因果推断依赖于温度波动的外生性及固定效应吸收,可能因未观测时变的局部因素带来偏误风险。
- 替代机制混淆:经济、健康、行为等多条路径对选举影响可能共存,模型未能完全拆解,存解释力不足风险。
- 数据局限性:只涵盖欧洲议会选举,忽视国别及地方选举差异,限制对政治行为全局判断。
- 气候事件单一性:聚焦温度,忽略降雨、风暴等其他气候灾害及政治影响。
- 党纲数据覆盖不足:党纲文本主要限于主流党派,难以涵盖新兴或边缘党派的气候政策响应。
报告虽未全面解决上述风险,但明确提出,呼吁未来研究加以关注。[page::4, page::9, page::10, page::11]
---
6. 批判性视角与细微差别
- 报告对气候冲击政治效应的强调较为显著,可能低估经济及社会健康等间接路径的独立作用,存在一定解释单一风险。
- 研究聚焦选举投票结构而非选民个体行为,细节层面投票动力和认知变化未被细致剖析。
- 时序跨度长(1989-2019),政治格局与气候议题态度均发生深刻变化,报告部分固定效应设定可能压缩部分动态变异。
- 温度区间划分及基准参考区间选择对模型灵敏度未有充分讨论,可能隐含建模主观倾向。
- 政党家族分类虽较细致,但不同国家内部党派同属一类下的异质性被忽视,可能弱化部分发现的解释力度。
总体来看,报告结构严谨、假设清晰,但部分假定和方法在未来研究中仍需严格验证和补充。[page::4, page::9, page::11]
---
7. 结论性综合
本报告系统分析了1989年至2019年间欧洲议会选举中,区域温度异常对投票行为的影响,综合发现:
- 温度异常(尤其偏高温日数增多)显著减少政治极化,提高投票集中,表现为选民投票向中间自由党和社会民主党集中,极右及部分小党派得票下降。
- 这一政治中心化趋势因地区历史气温差异而表现出显著异质性:暖区更明显表现为极化减少,冷区则表现为投票集中度提高。
- 政党行为适应机制显著,表现为自由党和社会民主党在温度异常时加大气候议题在党纲中的比重,借机扩大选民基础。
- 气候影响选民需求与政治供给,塑造了选举政治竞争的新维度,使气候变化成为欧洲政治重塑的“离心力”,推动政治势力向中间整合。
- 此外,虽然经济、健康、社会行为等路径可能辅助或替代气候议题显著性的政治效应,但报告未能完全区分,提示未来研究必要。
图表见解
描述性统计和气温分布图说明研究数据的广泛覆盖与稳健基础;多幅回归效应图表及系数表明确量化了温度区间替换对选举结果的影响力量;历史温度分组的异质性分析则强化气候事件本地适应的解释;政党党纲引用频率的文本分析及对应回归辅证了政治供应调整是投票行为变动的核心驱动力。
综上,报告以严谨实证揭示气候温度冲击对欧洲议会政治体系结构的深远影响,核心结论具有重要理论和政策启示价值。[page::0-11, page::15-27]
---
# 完毕