大类资产配置之机器学习应用于股票资产的趋势预测
创建于 更新于
摘要
本报告深入研究了机器学习方法在股票资产趋势预测中的应用,比较了logistic回归、多层感知神经网络及支持向量机三种模型,选取估值、宏观与利率等指标进行国内沪深300月度走势预测,最佳模型为训练期36个月的logistic模型,预测准确率达65%。此外,研究还涉及了涨跌细分四分类与六分类的多分类预测,并将沪深300预测结果应用于中证500和中证1000指数,获得显著超额收益,表明机器学习辅助的趋势判断对大类资产配置具有重要现实意义 [page::0][page::3][page::12][page::19]
速读内容
大类资产配置系统与机器学习趋势预测背景 [page::0][page::3][page::4]
- 资产配置分为超长期、战略性、战术性、动态及保底五种类型,市场主要关注战术性及动态配置。
- 本文重点研究适合国内需求的股票资产走势预测,采用估值、宏观及利率指标。
- 通过机器学习方法提升收益率,从单纯动量反转提升到结合情绪及宏观因子,优化股票资产配置。
机器学习模型介绍与流程 [page::7][page::8][page::9][page::10][page::11]
- 采用三种监督学习模型:多项logistic回归(MNL)、人工神经网络(ANN)及支持向量机(SVM);输入估值、利率及宏观指标。
- MNL模型可解释性强,处理多分类预测;ANN适合复杂非线性,但模型调参复杂;SVM对样本量要求低,泛化能力好。
- 通过交叉验证及参数遍历选择最佳模型参数。
模型预测效果对比及参数优化 [page::12][page::13][page::14][page::15]
| 输入指标 | 模型+训练期(个月) | 收益率 | 沪深300收益率 | 超额收益率 | 预测准确率 |
|---------|------------------|--------|--------------|------------|-----------|
| 全部指标 | MNL 36 | 17.36% | 2.48% | 14.87% | 0.6538 |
| 全部指标 | MNL 30 | 9.92% | -4.64% | 14.56% | 0.6182 |
| 宏观指标 | SVM 12 | 11.42% | 8.88% | 2.54% | 0.6094 |
- MNL模型训练36个月效果最佳,准确率65%,同时显著提升超额收益。
- ANN模型表现相对较弱,可能因有限训练样本影响。
- 各模型均呈现预测准确率约60%,盈亏比接近1。
- MNL模型净值表现平稳且远超基准指数。


多分类趋势预测效果及优势 [page::16][page::17]
- 采用四分类细分涨跌幅,四类分别为大幅上涨、小幅上涨、大幅下跌、小幅下跌,保持各类均衡样本。
- 四分类中,MNL模型36个月训练期预测准确率仍最高,且年化收益率从17.36%提升至17.44%。
- 六分类效果下降明显,样本稀疏导致模型训练困难,准确率明显降低。
- 预测结果融合到资产配置可优化风险预算,辅助决策。

模型的显著性检验及输入指标贡献 [page::15][page::16]
- ROC曲线及AUC值显示MNL模型36个月训练期AUC最高达0.656,表现最佳。
- 估值类指标贡献最大,单项PB、市净率、10年期国债收益率及GDP表现显著。


趋势预测在其他股票指数的应用 [page::18][page::19]
- 将沪深300预测模型应用到风格差异较大的中证500和中证1000,获得更高的绝对和超额收益率。
- 四分类下,MNL模型在中证500、1000超额收益率分别达到19.4%及19.18%,夏普比率显著提升。
- 三种指数等权组合预测后年化收益达25.45%,大幅优于未调整组合9.69%,且风险指标均明显改善。
| 组合类型 | 年化收益率 | 夏普比率 | 最大回撤 | Calmar比率 |
|------------|----------|--------|--------|---------|
| 等权重组合 | 9.69% | 0.33 | 50.98% | 0.19 |
| 预测后等权重组合 | 25.45% | 1.27 | 40.25% | 0.63 |
结论与建议 [page::19]
- 机器学习模型有效提升股票资产短期趋势的预测准确率,支持资产配置模型的动态调整。
- 多分类细分及风格指数轮动策略进一步增强了配置的灵活性和收益平滑性。
- 模型结构简单可解释(MNL)更适合当前市场环境,未来可通过丰富指标体系加强其他资产类别预测。
- 趋势预测结果可作为风险预算和资产权重调整的重要参考依据,提升动态资产配置绩效。
深度阅读
长江证券研究所《大类资产配置之机器学习应用于股票资产的趋势预测》报告详尽分析报告
---
一、元数据与概览
- 报告标题:《大类资产配置之机器学习应用于股票资产的趋势预测》
- 发布日期:2017年4月19日
- 发布机构:长江证券研究所,长江金工团队出品
- 报告主题:针对中国股票类资产,应用机器学习模型预测股票月度走势,结合大类资产配置体系研究股票资产的趋势判断方法。
- 研究对象与方法:
- 研究主要基于沪深300指数月度走势,辅以中证500、中证1000等指数,
- 选用三种机器学习模型——Logistic回归模型(MNL)、人工神经网络(ANN)、支持向量机(SVM),对股票的短期趋势进行二分类、四分类及六分类预测,
- 训练期选用不同长度(12至36个月)进行预测准确度比较。
- 核心结论:
- 最佳预测模型为训练期36个月的Logistic模型(MNL),月度走势预测准确率达约65%。
- 将沪深300预测模型迁移至中证500及中证1000同样表现良好,四分类预测下两者超额收益率分别达到19.4%和19.18%。
- 通过趋势判断进行风格轮动,有效提高组合的夏普比率和Calmar比率,实现收益的平滑波动。
本报告作者旨在传递基于机器学习的趋势判断在股票类资产资产配置中的有效性,强化动态资产配置和战术性配置中的决策能力,并为后续扩展到其他资产类别铺设基础。[page::0,3,4,19]
---
二、逐节深度解读
2.1 大类资产配置系统简介
- 关键论点:
- 系统阐述了资产配置的五大类:超长期、战略性、战术性、动态和保底资产配置,各自对应不同的配置目标、周期和风险偏好。
- 国内市场重点关注战术性(周期半年至三年)和动态资产配置(周期1-6个月),即中短期资产配置。
- 以历史数据和宏观经济指标(GDP增长率、人口结构、资产估值等)为依据进行权重调整。
- 逻辑与推理:
- 资产配置的层次递进反映了资金的不同期限需求和风险承受能力。
- 长期配置更依赖宏观基本面,短期配置则依赖技术指标及市场情绪。
- 关键数据:
- 表1概览五类资产配置方法的周期与依据,使投资者理解分类特点及应用环境。
- 意义:
- 为后续机器学习模型的应用提供背景,即聚焦于周期较短,基于预期收益率和波动率估计的动态资产配置需求。[page::3,4]
2.2 机器学习应用于股票趋势判断
- 关键论点:
- 针对股票走势方向的预测,机器学习模型引入估值指标、宏观经济指标、利率因素构成输入特征体系,弥补动量及反转仅反映历史价格信息的局限。
- 主要关注股票涨跌的趋势预测,因具体涨跌幅度预测误差大,实用性低。
- 指标选择:
- 表2详列宏观、利率、估值三大类共约17个指标,使用月度数据(多滞后一个月),以避免数据公布延迟影响预测准确度。
- 宏观包括GDP、CPI、PPI、PMI等;
- 利率包括国债到期收益率(1年、5年、10年)等;
- 估值涵盖市盈率(PE)、市净率(PB)、分红率等。
- 意义:
- 指标设计兼顾模型稳定性避免共线性,同时考虑频率和滞后效应,体现出对国内市场特征的适应。
- 强调短期非线性关系,利用机器学习模型通过数据驱动方法捕获复杂影响。
- 支持信息:
- 图1和图2分别呈现美国标普500和沪深300指数的价格与PE走势,标普500呈现更明显的PE均值回复,沪深300则无明显均值回复,说明中国市场估值与价格关系更复杂,难以用简单线性模型处理,因此采用机器学习方法探索非线性关系。[page::4,5,6]
2.3 机器学习模型简介及原理
- 所用模型:三种监督学习模型
- MNL(多项Logistic, Multinomial Logit)模型:
- 适合多分类,基于效用最大化原理,输出为类别概率,使用logit函数激活(如图4、图5)。
- 优点:理论完备、参数可解释,缺点是假设线性输入关系,可能受共线性影响。
- 人工神经网络(ANN):
- 多层前馈网络,包含输入层、1-2个隐藏层和输出层,支持非线性建模。训练采用误差反向传播(BP)算法进行权重梯度下降优化(图6)。
- 优点:强非线性拟合能力,自学习,缺点:训练难,训练参数多,训练集不足时易过拟合和陷入局部最优。
- 支持向量机(SVM):
- 通过构造最优超平面实现分类,使用核函数将非线性数据映射到高维空间实现线性可分(图7、8)。
- 采用径向基核函数(RBF)效果最佳,优点含泛化能力强,不依赖大量训练样本,缺点对核函数和参数选择敏感。
- 模型训练与测试流程:
- 监督学习框架中输入为选定指标,输出为股票涨跌分类,通过训练集拟合映射,再用测试集验证精度(图3)。
- 训练参数(表3):
- SVM:惩罚因子C在0.1-10范围,γ为指标数倒数;
- ANN:Sigmoid激活,隐藏层1-2层,中间变量5-10个。
- 意义:
- 通过理论介绍,有利于非专业读者理解三类算法的工作机制与偏好,便于分析后续结果较优模型的内在原因。[page::7,8,9,10,11,12]
2.4 模型的预测效果与表现分析
- 预测范围:2005年5月至2017年3月,沪深300月度上涨/下跌方向预测。
- 训练时长:12、18、24、30、36个月;
- 输入指标:估值、宏观、利率、全指标合集;
- 预测结果精度:
- 表4展示五组预测准确度最高的结果;
- 最优为全指标输入,训练期36个月的MNL模型,预测准确度65.38%,收益率17.36%,超额收益率约14.87%;
- SVM在12个月训练期取得约60%的准确率但无法获得超额回报;
- ANN表现偏弱,未能超过MNL和SVM。
- 趋势净值曲线(图9-11):
- SVM模型表现一般,尤其难以规避大幅下跌,仅在震荡下行时减少损失;
- MNL模型(30个月和36个月训练期)表现更佳,净值稳步上升,明显跑赢沪深300基准。
- 风险收益分析:
- MNL模型在最大回撤和夏普比率方面表现优异,分年收益表现出在重大下跌年份(2008、2011、2016年)均大幅跑赢基准,且最大回撤小于基准,夏普比率提升明显(表5)。
- 显著性检验(模型与指标):
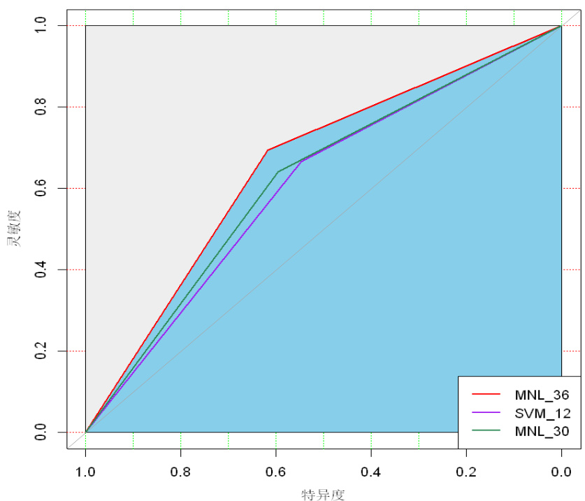
- ROC曲线及AUC值验证,36个月训练期MNL模型的AUC最高(0.656),预测性能稳健(图12,表6)。
- 估值指标重要性最高,PB(市净率)、10年期国债收益率、GDP表现尤其显著(图13-14)。
- 指标选择对精准度影响较大,但全指标输入效果优于动态筛选指标。
- 多分类预测:
- 四分类(大幅上涨、小幅上涨、大幅下跌、小幅下跌)模型准确率略有下降但盈亏比提升。
- 六分类下样本稀疏导致预测效果明显恶化,准确率下降,超额回报降低(表9)。
- 对其他指数的应用:
- 沪深300模型成功外推至中证500和中证1000,二分类、四分类均获得正向超额收益,且在四分类下超额收益率较二分类提升明显(表10-11)。
- 三指数等权组合趋势判断后,年化收益率由9.69%跳升至25.45%,夏普比率和Calmar比率显著提高,表明风格轮动对收益平滑性极具价值(表12)。
- 总结:
- 机器学习模型适用于国内股票市场趋势预测,但需合理选择训练期和特征,避免样本过少及过度细分导致效果下滑。
- 36个月训练期、基于全指标的MNL模型无论二分类还是多分类下表现均最为优异。
- 较短训练期SVM模型次优但难以实现超额回报,ANN模型因参数多及样本限制表现较差。
- 趋势判断可扩展应用于股票风格轮动配置,提高组合的风险调整后收益。[page::13-19]
---
三、图表深度解读
3.1 估值与价格关系图(图1和图2)
- 图1:标普500价格与历史PE走势,中长期表现有均值回复特征,PE存在可预测趋势。
- 图2:沪深300价格与历史PE走势,估值与价格走势关系复杂,估值波动大且无明显均值回复,反映中国股市特殊性。
- 结论:理论与经验支持估值指标作为短期内股票价格变化的预测因子,但非线性与复杂关系需借助机器学习处理。
3.2 三大机器学习模型流程图(图3-8)
- 图3展示监督学习流程,强调训练集输入输出映射关系建立。
- 图4、5展示MNL模型的logit激活函数与单神经元计算框架。
- 图6描述ANN结构,输入层到隐藏层,最终输出单一预测指标。
- 图7、8阐述SVM通过核函数映射到高维空间实现分类的过程。
- 以上图示清晰说明了三种模型从输入到输出的技术路线及实现机制,帮助理解后续数据表现差异。
3.3 模型对比走势图(图9-11,15-18)
- SVM净值走势(图9)波动较大,收益起伏明显,震荡下行时有较多卖空信号。
- MNL模型(图10、11)净值曲线稳步攀升,明显跑赢沪深300,显示其风险控制能力更强。
- 四分类下,ANN、SVM、MNL模型净值均优于指数基准,MNL胜出(图15-18)。
- 这些视觉化图形强化了MNL模型的稳健性和实用性表象。
3.4 指标显著性图(图13-14)
- 不同指标类别频次展示,估值—增长类指标表现最优。
- 前十个指标主要是PB(市净率)、10年期国债收益率(YTM)、GDP等,反映估值与宏观环境均影响显著。
- 表明多维指标融合有利于提升预测能力。
3.5 模型性能曲线(图12)
- ROC曲线表现出MNL(36个月训练期)对利率、估值和宏观变量整合后,具有最高的灵敏度及准确率,验证定量指标组合的优越性。
---
四、估值分析
- 本报告未专门展示DCF或传统估值模型,但机器学习模型基于输入的估值、宏观和利率指标做出短期方向判断,实质上通过统计学习对历史数据中的估值-收益率关系的非线性形式进行建模。
- 使用MNL模型优于其他模型,可能源于其兼顾预测准确率和模型可解释性的平衡特点。
- 训练窗口长度选择为36个月,既保证有效样本量,又避免过时信息影响,体现训练集设计的合理性。
- 未提供传统估值敏感性分析,但通过多模型对比和不同指标组合进行效果验证,间接体现了输入变量选择的稳定性。
---
五、风险因素评估
报告主要暗示以下风险:
- 样本量及数据频率限制:特别在六分类等更细分类下,样本过少导致模型训练及预测效果下降。
- 模型过拟合和参数选择风险:ANN模型表现差部分源于参数设定复杂,容易陷入局部最优;SVM核函数与罚因子取值影响较大。
- 市场结构及数据延迟异质性:中国市场估值与价格间的非线性关系及滞后公布的宏观指标,可能降低预测实时性与准确度。
- 模型迁移风险:尽管沪深300模型对中证500和中证1000的表现良好,仍存在因风格和市场结构不同带来的预测误差风险。
报告未详细讨论缓解策略,但通过多模型对比及采用滚动训练窗口,动态调整模型和参数设置,体现一定的风险控制意图。[page::5,12,18]
---
六、批判性视角与细微差别
- 模型选择的局限:
- ANN模型在实际样本量有限时难以发挥优势,说明需注意数据丰富性是机器学习成功关键。
- SVM对参数依赖较大,实际中可能需要更精细的调参或集成方法提升效果。
- 指标选择:
- 虽选择了较多宏观及估值指标,但对市场情绪、流动性等软信息未涉及,未来可进一步拓展指标体系。
- 项目应用周期与实务操作:
- 预测周期限定为月度,短期策略依赖月底数据滞后,可能导致无法实时捕捉行情变化。
- 多分类样本问题:
- 按涨跌幅细分后样本稀少显著限制模型表现,提示机器学习在数据稀疏场景下的效用受限。
- 收益平滑与极端事件应对弱点:
- 预测模型对2010-13年长线下跌的小幅反弹捕捉不足,对市场极端剧烈波动的反应有限,可能影响模型在非平稳市场环境中表现。
建议未来研究结合更多高频及市场微观数据,融合专家经验,提高模型动态调整能力。[page::13,14,19]
---
七、结论性综合
本报告是长江证券研究所大类资产配置系列中的第二份,围绕股票类资产动态配置展开,核心贡献在于引入机器学习技术对中国沪深300等股票指数的月度涨跌趋势进行多模型预测与实证分析。
- 构建并比较了三类模型——MNL(多项Logit)、ANN、SVM,输入涵盖估值、宏观和利率共17项主要指标。
- 训练长度36个月的MNL模型取得最高准确率(约65%),并成功实现较高超额收益和风险调整后回报,表现出较强的稳健性与可推广性。
- 趋势判断在沪深300基础上迁移至中证500、1000仍保持良好预测性能,且通过多指数等权重组合实现风险调整收益大幅提升,夏普比率从0.33升至1.27,Calmar比率显著改善。
- 多分类(四分类)预测能够辅助资产配置模型实现更加细致的风险预算和风格轮动,虽然样本容量限制六分类效果不佳。
- 模型实现结构合理,强调较长训练期提升样本外表现,采用多维指标降低单一指标偏误风险。
- 图表生动展示了模型性能差异,包括净值曲线、ROC曲线、指标显著性和收益风险对比,全面支持结论。
- 报告系统梳理了大类资产配置框架,强调战术性和动态资产配置下机器学习的应用价值,预示未来将在债券和商品资产上继续扩展。
- 对潜在风险客观看待,包括样本量限制、市场结构非稳态、指标延迟以及模型过拟合风险,显示分析审慎态度,未过度夸大机器学习的神奇效果。
整体来看,该报告为中国股票市场大类资产配置中的趋势判断提供了成熟严谨的机器学习方法论和实证支撑,展示了机器学习技术与宏观估值指标结合的应用潜力和实际投资指导价值,为后续的多资产动态配置研究奠定坚实基础。未来可通过扩大指标体系、增加高频数据及丰富模型集成策略进一步提升模型适应性和稳健性。
---
主要图表示例
图1:S&P500 指数价格走势和历史 PE

图6:BP 神经网络模型预测股票走势的流程图

图9:SVM 模型预测区间内净值曲线走势

图12:三种模型的 ROC 曲线

图13:不同指标类别的显著性水平

---
以上是对长江证券研究所发布的《大类资产配置之机器学习应用于股票资产的趋势预测》报告的系统、详细和专业的全面解析,涵盖核心论点、技术原理、数据解读、图表分析、模型比较、风险提示及综合结论,旨在为专业投资者及研究人员提供清晰深入的理解与参考。[page::0-20]