Privacy vs. Profit: The Impact of Google’s Manifest Version 3 (MV3) Update on Ad Blocker Effectiveness
创建于 更新于
摘要
本研究基于浏览器实验评估了谷歌浏览器扩展MV3更新对广告拦截器效果的影响。通过对比MV3与MV2版本的四款主流广告拦截器,结果显示MV3更新并未显著降低广告拦截或防追踪效果,部分MV3拦截器(如Stands)反而在防追踪上有所提升。多款MV3广告拦截器同时使用时,防追踪效果显著增强。这些发现表明,尽管MV3更新带来限制,广告拦截器供应商已成功适配,保障用户隐私和无广告浏览体验。结果跨浏览器和不同样本均保持稳健,部分MV3实例在视觉体验上略逊于MV2版本。[page::0][page::1][page::6][page::7][page::8][page::9][page::10][page::11][page::12]
速读内容
研究背景与问题提出 [page::0][page::1]
- 谷歌Chrome浏览器从Manifest V2 (MV2)更新到Manifest V3 (MV3),取代强大的WebRequest API为更严格的DeclarativeNetRequest API,引发广告拦截器有效性疑虑。
- 研究关注MV3更新是否削弱广告拦截和防追踪能力,以及同时使用多个MV3广告拦截器的效果差异。
浏览器实验设计与样本选择 [page::5][page::6][page::7]

- 选取四款主流广告拦截器(Adblock Plus、AdGuard、Stands、uBlock),分别收集MV2和MV3版本。
- 以Chrome和Firefox浏览器环境,在114个广告支持网站上,通过自动化浏览器实例并行运行,记录广告和追踪器阻断数量。
- 三个关键扩展辅助数据捕获:HTTP Recorder、Azerion Ad Expert、Super Agent–Automatic Cookie Consent。
主要定量结果:MV3与MV2广告拦截器效果对比 [page::7][page::8][page::9]


- MV3广告拦截组与MV2组在平均阻断广告数(约2.9个)和阻断追踪器数(约25个左右)方面无显著差异。
- 个别广告拦截器中,Stands MV3版本防追踪效果显著优于其MV2版本,阻断追踪器数量提升约30.5%。
- 同时使用多个MV3广告拦截器(MV3+组),防追踪效果显著增强,比Adblock Plus MV3最多提升61.8%阻断追踪器数。
稳健性检验与跨浏览器一致性 [page::10][page::22]


- 使用两份不同样本,采用HTML文件大小、阻断第三方域数量等多种替代效果指标均验证结果一致。
- 早期MV3版本广告拦截效果与后续版本一致,表明厂商较早适配MV3。
- 通过Firefox浏览器的有限实验,验证了uBlock广告拦截器的跨浏览器效果稳定。
视觉体验与功能观察 [page::10]
- MV3版本广告拦截器偶尔产生更多视觉占位符,导致浏览体验稍逊于MV2版本,整体无明显广告闪烁或网站破坏现象。
结论与用户建议 [page::11][page::12]
- MV3更新未减弱广告拦截器的核心广告和追踪器阻断功能。
- 广告拦截供应商已有效应对MV3限制,保障用户隐私与无广告浏览。
- 建议隐私敏感用户可考虑同时使用多个MV3广告拦截器,获得更强追踪器阻断效果。
深度阅读
金融研究报告深度分析报告
《Privacy vs. Profit: The Impact of Google’s Manifest Version 3 (MV3) Update on Ad Blocker Effectiveness》
作者:Karlo Lukic 与 Lazaros Papadopoulos
机构:法兰克福歌德大学
时间:2025年3月4日(预印本)
---
1. 元数据与报告概览
- 标题:《Privacy vs. Profit: The Impact of Google’s Manifest Version 3 (MV3) Update on Ad Blocker Effectiveness》
- 作者与机构:Karlo Lukic、Lazaros Papadopoulos,来自法兰克福歌德大学。
- 发布日期:2025年3月4日(预印本)。
- 研究主题:分析Google浏览器扩展程序Manifest版本更新(从MV2到MV3)对主流广告拦截器(Ad Blocker)效果的影响,聚焦广告屏蔽及反追踪的性能变化。
- 核心论点:
- 尽管谷歌的MV3更新引入了限制(例如从WebRequest API转向更受限的DeclarativeNetRequest API),担忧其可能损害广告拦截器的效果,但本研究通过实证实验未观测到MV3版本的广告拦截器性能有显著下降。
- 某些情况下,MV3广告拦截器的反追踪效果甚至有所提升。
- 同时使用多个MV3广告拦截器能显著增强反追踪效果而非降低。
- 主要结论:MV3广告拦截器总体上保持了MV2水准,有效兼顾了隐私保护和广告拦截功能。尽管存在对新版本功能限制会影响性能的担忧,但广告拦截器提供者已成功通过技术创新应对MV3限制,维系核心功能。[page::0,1]
---
2. 逐节深度解读
2.1 摘要与引言
- 对MV3更新的背景阐述,强调潜在的利益冲突:Google宣称提高隐私安全和性能,而用户和广告拦截服务担忧其实质是削弱广告拦截器以促进自身广告收益。
- 引出本研究的实证动机:通过实验比较MV2与MV3版本广告拦截器阻止广告和追踪的效果,揭示MV3对实际用户隐私和浏览体验的影响。[page::0]
- 研究设定三大核心问题(RQ1-RQ3):
- RQ1:MV3总体广告和追踪拦截率是否低于MV2?
- RQ2:各个广告拦截器MV3与MV2版本间效果差异如何?
- RQ3:是否同时装载多款MV3广告拦截器影响效果?
- 方法简介:基于浏览器的实证实验,使用四款主流广告拦截器(Adblock Plus,AdGuard,Stands,uBlock Origin)的MV2和MV3版本,分别在多网站样本及跨浏览器(Chrome与Firefox)进行测试。[page::1]
2.2 背景与技术细节(第2与3章)
- Manifest文件简介
- Manifest文件定义扩展权限、能力,是开发者与浏览器间的指令接口。
- 关键API如WebRequest允许MV2版本广告拦截器对HTTP请求实时拦截与过滤。
- MV3版本引入将WebRequest替换为限制更多的DeclarativeNetRequest API,限制单个扩展最多3万个阻止规则,且整体约33万个规则限制,对多扩展使用模式有潜在影响。[page::2,3]
- MV3的两个核心技术变化:
- WebRequest→DeclarativeNetRequest:基于规则集的非实时请求处理,减少恶意扩展对隐私的威胁,同时降低灵活性。
- 后台页面→Service Workers:为提升性能,引入事件驱动服务工作线程,但实际运行中对广告过滤可能产生“睡眠模式”现象,导致广告短暂闪现(“ad flickering”)。
- 不同利益方立场冲突明显,Google强调安全隐私和统一生态,广告拦截提供商聚焦实际拦截能力限制的技术挑战。[page::3]
- 广告拦截器提供商回应
- 多个拦截器通过技术措施适配MV3:AdGuard转换规则,uBlock Origin Lite创新服务工作机制,Adblock Plus采用差异化更新和模糊测试确保服务工作线程可靠性。
- Google也根据建设性反馈调整规则数量、URL过滤特性等,减轻MV3限制负担。[page::3,4]
- MV3更新可能带来的影响展望
- 负面:广告展示量提升,隐私风险增加,用户迁移至其它浏览器(如Brave或Vivaldi),开发维护成本上涨。
- 无影响:广告拦截器适配成功,隐私保护不减,增强浏览安全,降低恶意扩展风险。
- 正面:创新导致拦截效能提升,用户体验优化,信任度上升。
研究目标即是实测验证上诉假设。[page::4]
2.3 相关研究综述(第4章)
过往文献侧重于MV2版本广告拦截器的效果评估,揭示各广告拦截器间存在显著差异及对不同追踪技术的阻挡复杂性。
本研究创新之处在于首次大规模对比MV3与MV2版本广告拦截器,填补更新带来隐私保护效能变化的实证空白。[page::4]
2.4 测量设计与数据采集(第5章)
- 广告拦截器选择基于MV2/MV3版本均可用、用户数较多且早期MV3适配的四款产品。
- 实验模拟四类“用户”:无广告拦截器、使用单一MV2版本广告拦截器、使用单一MV3版本广告拦截器、同时使用全部四款MV3广告拦截器。
- 通过自动化浏览器实例并行运行,针对114个广告支持型网站(覆盖10国家)进行十轮测量,同时兼顾俄网站的cookie同意、浏览器scroll动作等细节确保模拟真实用户行为。
- 数据指标包括阻止广告数(利用Azerion Ad Expert抓取广告插槽统计)和阻止追踪请求数(匹配HTTP请求中的第三方域名与WhoTracks.me追踪器数据库)。
- 额外采用截图和HTML存档确保广告阻挡准确度和后续手动验证,浏览器环境以Chrome为主,同时辅以Firefox兼容性测试(尽管MV3在Firefox支持度较低)。[page::5,6]
- 表格分析显示所测8款广告拦截器累计用户超1亿,尤其MV2版本用户规模显著,MV3版本使用人数则较少,符合谷歌择机淘汰MV2的市场动态。[page::6]
2.5 关键结果(第6章)
- 总体ad-block与反追踪效果(图3和图4)
- MV3类别广告拦截器阻止的广告和追踪数量与MV2无显著差异(广告拦截差异$\Delta=-0.04, p=0.92$;追踪拦截差异$\Delta=1.62, p=0.54$)。
- 各广告拦截器表现相似,唯Stands MV3版本对追踪器阻断较MV2提升显著(平均阻断数提升6个,约30.5%提升)。
- 使用多MV3广告拦截器组合(MV3+)对广告拦截影响不大,但对追踪器阻断显著增加(比单一Adblock Plus多阻断13个追踪器,增幅61.8%),主因归功于uBlock MV3的强反追踪默认配置。
- 健壮性检查
- 对不同网站样本(分层基于员工数和流量排名)、使用不同指标(HTML大小、阻断的第三方域名数)、不同浏览器(Firefox的uBlock测试)均稳定支持上述结论。
- 视觉截图审查未发现明显的“ad flickering”或网页破坏,仅发现MV3版本偶有较MV2更明显的视觉代替空白(placeholder)出现,导致略差浏览美观度。[page::7-11]
2.6 限制与伦理声明(第7章)
- 实验自动化行为不完全等同真实用户交互,部分广告或追踪行为因样本网站选择、浏览行为模拟范围、地理位置(欧洲IP)等有所限制。
- 研究未涵盖所有广告拦截器,且关注主要是显示广告,缺乏视频广告和竞价机制其他形式的覆盖。
- MV3生态仍处于变化,未来可能出现影响广告拦截效果的新情况。
- 研究独立于Google及广告拦截提供商,且实验中产生的流量对广告生态影响极小。
---
3. 图表深度解读
3.1 表1(第6页)
“MV3与MV2广告拦截器概览”:
- 显示四大广告拦截器提供商及其MV2与MV3版本的详细版本号、更新日期及Chrome Web Store用户数。
- 其中Adblock Plus和uBlock Origin用户基数最高(MV2版均超千万级),MV3版用户仍较少但逐步增长,符合MV2即将淘汰的趋势。
- Stands MV3 Beta版及Fair AdBlocker MV3用户基数较小,暗示MV3版本发布市场仍处探索阶段。[page::6]
3.2 图2(第7页)
“浏览器实验设计流程”:
- 流程图详细展示了设置10并行浏览器实例的方法,包括无广告拦截、分别安装MV2、MV3广告拦截器,以及安装MV3全组合。
- 每个实例均安装三个基础采集扩展:自制HTTP Recorder(详尽收集请求数据)、Azerion Ad Expert(广告抓取识别)、Super Agent自动接受cookie同意,确保操作标准化。
- 浏览器实例执行一段完全自动化的上网流程(访客网页→接受cookie→刷新→滑动页面→数据导出→关闭),大幅保障实验的可控性与重复性。[page::7]
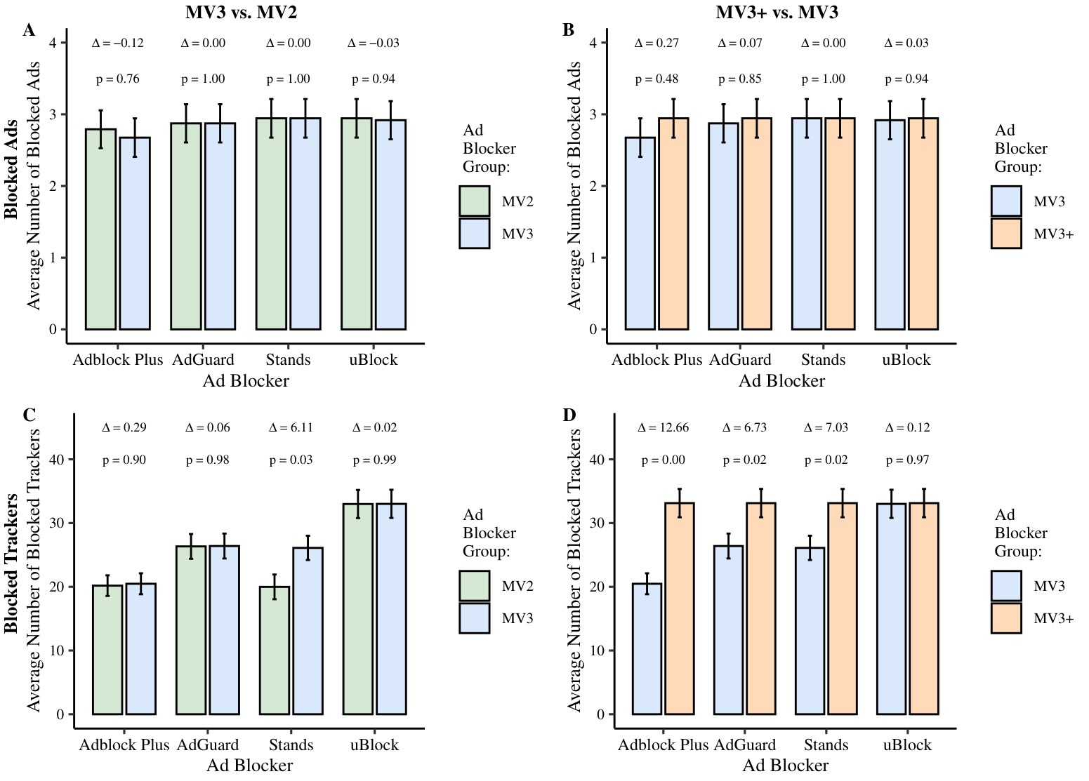
3.3 图3(第8页)
“各组广告及追踪器阻止效果的分布箱线图”:
- Panel A(阻止广告数)各拦截器MV2和MV3整体效果相近,中位数一般为2-2.5个广告,部分MV3个别异常情况出现负数,说明偶有广告数量反升,极少情况。
- Panel B(阻止追踪器数)Ublock拦截器效果明显优于其他,MV3组合(MV3+)组效能最高,体现组合优势。
- 多数数据集中分布,离群值显示少数网站广告量巨大,表明广告拦截需要兼顾不同程度广告密度的挑战。[page::8]
3.4 图4(第8页)
“MV3 vs MV2组间独立样本t检验比较”:
- Panel A(阻止广告均数)MV3和MV2组均值近似(2.85 vs 2.89),p=0.92无统计显著差异。
- Panel B(阻止追踪器均数)MV3组略优(26.49 vs 24.87),p=0.54不显著差异。
- 证实MV3整体没有削弱广告及追踪阻断功能。[page::8]
3.5 图5(第9页)
“四款拦截器间MV3 vs MV2及MV3+ vs MV3的详细对比”:
- Panels A与B(阻止广告数)分别对比单个拦截器MV3、MV2间差异,以及MV3+组合与单个MV3拦截器差异,均无显著差异,表明广告屏蔽能力一致。
- Panels C与D(阻止追踪器数)显示Stands MV3比MV2提升明显(+6.11个,$p=0.03$);多MV3组合较单个MV3拦截器在追踪器阻断上显著提升(最高61.8%)。[page::9]
3.6 表2与相关健壮性测试总结(第11页)
- 表2总结了五个健壮性测试的设计要点(不同网站样本、替代指标、早期MV3版本、Firefox浏览器、截图人工验证),各测试均支持主结论,测试结果稳定可靠。
- 显示出作者对研究结论的谨慎验证和多角度确认。[page::11]
3.7 支撑数据图片(图6至图10,附录)
- 图6、7:在以网站员工数及Tranco排名分层样本中的确认实验,结论与主样本一致,表明结果稳健且推广一般性强。
- 图8:使用替代的阻断“第三方域名”指标确认追踪器阻断结果,Stands MV3表现仍显著优异,组合MV3优势明显。
- 图9:早期MV3版本与现行MV3版本阻断率无显著差异,验证MV3从上线之初即保持稳定效能。
- 图10:Firefox浏览器下uBlock MV3与MV2无效能差异,跨浏览器结果一致。
- 各图均提供差异值(Δ)、p值及标准误,数据严谨透明。[page::15-22]
---
4. 估值分析
本报告非典型金融资产估值研究,未涉及传统财务估值法(如DCF、市盈率等),而是一篇计算机科学社会实验性质的实证分析。故无估值方法论重点,仅需关注样本选择、测量方法和统计检验的设计合理性。
---
5. 风险因素评估
报告指出以下风险因素:
- 网站动态不确定性:站点内容和广告投放动态变化可能间接影响测量效果,浏览器扩展兼容性可能因网站更新波动。
- 自动化交互局限:测试模拟不完全代表用户所有行为,如深层次网页页面浏览。
- 地理和使用设置偏差:研究使用欧洲IP及默认设置,效果受地域、个人化设置和广告类型限制可能不同。
- 生态变化风险:未来MV3生态和规则可能变动,影响广告拦截器的适配及效果。
- 技术复杂性与成本:MV3限制可能推动开发成本上升及技术实现复杂。
报告未详细提供风险缓解措施,但通过多样样本及跨浏览器实验设计,策略上已部分降低单一场景风险。[page::10]
---
6. 审慎视角与细微差别
- 报告全面、严谨,数据支撑充分。
- 文章立足客观实证,避免对利益相关方偏袒或立即得出政策性质结论。
- 对MV3影响“效果提升”情境虽然被标为“意外”,但允许存在说明作者遵循科学开放态度。
- 视觉体验差异提示了用户体验层面的潜在负面影响,驱动未来UI/UX改进。
- 尽管未经商业估值分析,广告拦截效果的用户隐私价值在数字经济中具有重要隐含经济意义。
- 可关注MV3规则数量限制对复杂、多广告拦截器组合长期影响,当前研究时间框架中尚未可量化。
---
7. 结论性综合
本研究首次系统实证验证了Google Manifest V3更新对广告拦截器效能的影响。通过跨浏览器、多维度验证,针对四款主流广告拦截器的MV3与MV2版本比较,发现:
- MV3版本广告拦截器在阻断广告和追踪器数量方面,与前代MV2版本无显著降级。
- 个别广告拦截器(如Stands)MV3表现甚至显著优于MV2,表明开发者已积极适配MV3限制或MV3允许部分优化。
- 同时装载多个MV3广告拦截插件组合显著提高反追踪能力,主因是uBlock MV3的强效默认追踪阻断策略,反驳了部分广告拦截器开发者担心多插件使用将削弱拦截力的观点。
- 观测到MV3执行环境会多出现更明显的界面占位符,导致浏览体验美观稍逊于MV2。
- 研究的多样化样本及跨浏览器验证保证了结论的稳健性和一定的推广性。
- 结果为依赖广告拦截器保证隐私的用户提供了可靠的安心信号,也反映出广告方式生态正在平衡“隐私与利润”的长期博弈。
总体上,本报告内容详实,数据驱动,系统性验证了MV3更新策略对广告拦截器性能的实质影响,为数字广告隐私保护领域提供了重要实证参考。[page::11,12]
---
附加说明
图表引用示例(请注意图片路径均为相对路径形式):
- Manifest文件示例(第2页):

- 浏览器实验流程示意(第7页):

- 阻止广告和追踪器分布箱线图(第8页):

- MV3与MV2及MV3组合比较图(第9页):

---
综上,本文通过技术细节解读、实验设计检验与多层数据分析,提供了对Android Manifest V3政策是否削弱广告拦截能力的科学实证结论,填补了学术和行业的实践认知空白,是领域内具有重要价值的标杆研究。