Normalizations and misspecification in skill formation models
创建于 更新于
摘要
本文围绕技能形成结构模型的归一化问题,系统分析了经典尺度与位置限制对参数识别及政策反事实推断的影响。研究发现,不同生产函数规格(转录对数与CES)下,传统归一化限制非但非无损,反而可能引入模型误设,特别是在CES函数中尺度参数实际是可识别的。文中提出改进的估计方法,保证关键政策参数对测量单位变化保持不变,避免投资策略失效,为模型设定和实证分析提供理论和方法指导 [page::0][page::1][page::2][page::3][page::4][page::5][page::6][page::7][page::8][page::9][page::10][page::11][page::12][page::13][page::14][page::15][page::16][page::17][page::18][page::19][page::20][page::21][page::22][page::23][page::24][page::25][page::26][page::27][page::28][page::29][page::30][page::31][page::32][page::33][page::34][page::35][page::36][page::37][page::38][page::39][page::40][page::41][page::42]
速读内容
技能形成模型中的规模与位置归一化问题 [page::1][page::2][page::3]
- 技能的潜在测量缺乏自然尺度,传统做法通过尺度和位置限制固定技能分布单位。
- 本文提出整体模型一体化识别分析,表明许多关键政策参数无需归一化即可点识别,且对尺度变换不敏感。
- 归一化限制对于不同生产函数规格效果不同,转录对数(trans-log)函数下多为选取元素,但CES函数下归一化可导致模型误设。
转录对数生产函数的参数识别与归一化影响 [page::8][page::9][page::10][page::16][page::17][page::18][page::19][page::20]
- 建立参数变换体系,将原始参数等价映射为归一化后的“tilde”参数集合,实现联合分布点识别。
- 证明归一化尺度限制通常非无损,原始参数不能直接解释,示例中尺度变化显著影响投资边际产出。
- 重要政策参数,如投资对技能分布排名的影响及优化的投资组合,是点识别且对尺度和位置变化不敏感。
- 现实估计中,选择不同的归一化假设导致截然不同的原始参数解释,策略建议可能截然不同。
CES生产函数的识别特点及归一化限制误设 [page::12][page::26][page::27][page::28][page::29][page::30]
- CES函数中生产函数形式约束使得尺度比例参数本身可识别,传统统一归一化尺度假设导致模型误设。
- 常用尺度限制(如所有尺度参数设为1)并非归一化,错误归纳会影响所有参数估计及投资政策分析。
- 提出放宽归一化尺度限制并通过估计方法修正尺度参数的策略,确保结果对测量单位变化的不敏感性。
- 理论推导及数值模拟均支持该纠正,展示改进估计在不同尺度下保持稳定。
数值模拟与经验结果验证归一化影响 [page::24][page::25][page::33][page::34][page::35][page::36][page::37][page::38][page::39][page::40][page::41]
- 通过蒙特卡洛实验模拟认知技能形成过程,验证真实尺度下新估计器对偏导弹性估计的稳健性。
- 传统两步法估计对测量单位变化敏感,导致边际产出及最优收入分配策略出现明显差异和偏差。
- 经验应用再现Attanasio et al. (2020)结果,展示改变投入货币单位或测验分数尺度会显著影响投资边际效应的估计结论。
- 新方法估计结果对单位缩放保持不变,揭示经典归一化的误用会误导政策评价和建议。
非参数模型扩展及量化方法论贡献 [page::49][page::50][page::51]
- 推广到非参数技能形成模型,证明无需归一化即可识别一类策略相关函数及分位数反事实分布。
- 该识别不依赖于测量的线性关系,对任意单调转换的测量均保持不变,增强模型的广泛适用性和解释力。
- 提供了对抗归一化误设的理论基础与灵活估计方案,有助于推动结构模型的稳健计量分析。
深度阅读
金融研究报告详尽分析
---
报告标题:Normalizations and misspecification in skill formation models
作者:Joachim Freyberger
发布日期:2025年7月25日
主题:技能形成模型中的归一化(normalizations)与模型误设(misspecification)问题,涉及结构性经济学模型的识别及估计技术
---
一、元数据与报告概览
该论文针对技能形成领域广泛使用的结构模型,聚焦于模型中尺度(scale)和位置(location)限制对参数识别和政策含义的影响。传统方法通常采用归一化处理(如固定某些参数为1或0)以实现模型的点识别,然而作者指出,这些“归一化限制”可能实际约束了参数,导致模型误设,从而影响估计和政策反事实分析。
- 核心论点:在不施加尺度和位置限制的情形下,关键的政策相关参数仍然可能点识别;而传统归一化可能隐藏实际可辨识的参数,甚至引起估计误差及政策误判。
- 贡献:
1. 明确界定何为“归一化限制”(正规化定义);
2. 全面分析两类主流生产函数(trans-log与CES)下归一化的后果;
3. 提出针对现有估计器的调整方案,避免归一化混淆,确保估计结果对度量单位和尺度不敏感;
4. 结合仿真与实证应用示范理论结果;
- 结论提示:研究者应谨慎检验其归一化假设是否真正是无损的规范化,避免因人为设定尺度带来的误导。
本报告不仅深化了现有模型的识别理论,还为实际建模提供重要的实证指导和诊断工具。[page::0,1,2]
---
二、逐章节详尽解读
2.1 导论与背景(第1-5页)
作者回顾了技能形成模型的经济学重要性(如促进人力资本积累、解释经济增长与不平等等),并揭示技能的潜在变量本质导致度量无固定尺度的基本问题。
- 传统识别步骤:
1)基于测量数据识别潜变量的尺度分布,通常需施加尺度和位置限制;
2)结合生产函数参数估计。
- 问题点及研究动机:
不清楚是否始终需要施加尺度/位置限制,尤其结合生产函数时,是否更弱假设即可点识别。
作者提出新方法,直接联合考虑测量与生产函数,将识别区域整体表达,发现很多关键特征不依赖传统归一化限制,且比文献中预期的假设更弱。[page::1,2]
文中以两个典型生产函数为切入点:
- trans-log生产函数:尺度限制一般为规约作用,不影响多数重要参数和反事实,但会影响生产函数参数本身和部分估算策略的解释;
- CES生产函数:多数尺度限制实际上约束了真实的参数,导致模型误设。改动度量单位等操作因而会引发动态估计偏差、投资效益误判等严重问题。[page::2,3]
此外,作者强调文献中已有相关讨论和混淆,举例如Agostinelli和Wiswall的工作,批评其某些尺度限制在CES模型中的不当使用,同时提出减少测量数据需求的新识别结果,与Del Bono等文献的发现相呼应。[page::3,4,5]
---
2.2 归一化定义与简明示例(第6-8页)
作者首次在文献层面给出归一化的正式定义:
- 归一化定义:一项约束若对关注函数(例如反事实)识别区域无影响,则该约束为相对于该函数的归一化。
在此定义下,归一化不应改变函数的识别集,只是“选择”参数空间中的具体元素。约束若非严格如此,则为限制性假设,而非“无关”的归一化。
- 简单probit模型示例清楚展示了传统设定的$\mu=0$、$\sigma=1$不构成回归系数的归一化(不是感兴趣指标),但对预测概率或边际效应却是归一化。
- 另一示例展示了通过不同尺度对模型参数做线性变换的等价性。[page::6,7]
---
2.3 技能形成的具体建模示例(第8-12页)
作者用单测量版本的贝叶斯技能形成模型阐释尺度/位置问题:
- 平台模型采用对数Cobb-Douglas生产函数,参数包括测量参数$\lambda$,生产函数参数$\gamma$等,展示了未施加尺度限制时存在的识别不确定性。
- 举例说明,若真实的$\lambda=12$,则强制设置$\lambda=1$等价于将技能$\ln\theta$乘以12,导致投资弹性从0.5变化到6,表明传统归一化并非对技术参数的归一化。
- 不同尺度测量导致政策结论(如投资最优序列)产生显著区别,突显度量单位选择的重要性。
- 切换到CES生产函数时,作者证明在常见假设下$\tau0$本身即点识别,强制尺度为1会导致模型误设,估计不一致。
这些示例生动揭示尺度限制往往掩盖了模型真正识别的结构,需要谨慎使用。[page::8-12]
---
2.4 技能形成模型一般结构与估计框架(第12-15页)
作者扩展到更现实模型:
- 技能与投资均是潜变量,均依赖于多个测量,构成因子结构的测量系统;
- 投资可内生,借助控制函数等工具处理,积分至线性生产函数(trans-log 与 CES)中;
- 明确提出常见假设:测量误差独立,指标有效性(非零加载),技能与投资的相关性条件,支持假设等;
- 引入辅助变量如成年期结果$Q$,实现锚定与识别。
验证了该一般框架下,未经尺度限制时参数往往非点识别,且尺度限制非必要。同时强调,无论是否采用归一化设定,重要政策参数往往可被从模型中抽取并识别。[page::12-15]
---
2.5 Trans-log生产函数框架解析(第16-21页)
- 在经验文献中常用的设置(尤其Agostinelli和Wiswall方法论)普遍采用尺度归一化$\lambda
- Theorem 1:在基本假设下,参数集合形成一族观测等价参数,只有额外尺度与位置限制能实现点识别;
- Corollary 1:结合尺度与测量假设可实现点识别;
- Theorem 2:重要的统计功能(如技能分位数的技能分布、投资效应、收入对成年结果的影响等)无需尺度归一化即可点识别,这些指标对归一化设定保持不变,是实际政策分析的主要对象;
- 归一化限制对基础参数及某些反事实影响较大,示例量化展示在不同尺度情况下结果可能大幅差异;
- 明确提出锚定成效与测量尺度的微妙关系,并指出锚定虽使解读更直观,但仍受归一化设定的影响,具有局限性。[page::16-21]
---
2.6 CES生产函数分析(第26-31页)
- CES生产函数允许灵活的替代弹性,且生产函数指定为参数$\sigmat$和$\psit$,并带有潜技能与潜投资变量的测量系统;
- Theorem 3:无尺度限制下,其参数集合存在多元观测等价,但下述复合比率、参数函数等识别;
- Corollary 2:局部尺度和位置限制能点识别全部参数;
- 重要结论是CES模型通过其函数形式自然识别技能和投资的相对刻度,尺度限制并非归一化而是限制性假设;
- 如普遍假设$\psit=1$,识别只需$\lambda{\theta,0,1}=1$一处尺度限制;过度强加所有时点单位测量等会导致模型误设;
- 对应于trans-log案例,相关关键政策参数如技能投资弹性等仍为尺度不变的点识别指标。[page::26-31, 29-30]
---
2.7 模拟研究(第31-36页)
- 使用基于Attanasio等人(2020)的数据生成过程进行了扩展性蒙特卡洛仿真;
- 比较传统两步估计方法与作者提出的“尺度自适应估计器”;
- 结果显示:
- 传统方法对测量尺度极为敏感,小变动即造成投资弹性及反事实控制策略(投资分配权重)的显著偏差;
- 作者估计器对测量尺度变动具有稳健性,消除人为尺度选择带来的估计偏误;
- 图2(部分导数)与图3(收入分配反事实)说明了尺度误设导致的政策推荐方向颠倒现象,显示出归一化误设风险的严重性;
- 图4展示反事实分布变化,客观反映因收入不同分配而导致的技能结果的群体结构变迁。[page::31-36]
---
2.8 实证示例(第37-42页)
- 基于Attanasio et al.(2020)对认知技能与健康生产架构的实际数据展开验证;
- 人为改变投资尺度(标准化书籍支出从100 INR和原始USD单位间切换)以及技能尺度(PPVT测试分数乘以3倍),重新估计模型;
- 观察结果:
- 传统双步估计器对这些尺度变动反应敏感,导致动力学与投资生产率结论完全不同,如投资在低龄是否更重要的结论可被颠覆;
- 新的尺度自适应估计器维持结果稳定,呈现更合理的财富分层异质反应;
- 传统估计法中对技能水平(而非对数)的直观反事实计算也存在尺度依赖问题,改用技能的对数尺度反事实缓解此问题;
- 文章特别指出锚定策略及尺度固定的缺陷,建议政策研究更关注尺度不变的分位数及弹性指标。
- 多副图(图5-7及附录图)直观表现了尺度误设对边际产出、收入转移效应及政策评估结果的影响。[page::37-42]
---
2.9 结论总结(第42页)
作者强调:
- 归一化限制不是无条件的规范化,错误使用会产生估计偏误和误导性政策;
- 通过完整模型识别集分析,显示许多感兴趣特征无需尺度限制即可点识别;
- 呼吁研究者谨慎核验归一化假设,聚焦不受尺度影响的参数和反事实分析;
- 提出在考虑更复杂的最优投资决策模型时,也需关注归一化的潜在误用风险。
---
2.10 附录中的理论深度(第43页及后)
- 附录给出重要计算公式、理论证明及补充定理,全面支撑正文结论;
- 包括转化后trans-log模型参数的表达,尺度归一化的数学条件,以及针对CES模型的分布识别和参数不变性评估;
- 证明了具有尺度自由度的等价参数族存在,尺度固定即带来约束,相应归一化应谨慎采取;
- 给出了非参数版本的一般识别框架,展示了更多情况下对度量单位的非依赖性,理论力度强;
- 讨论了测量和投入的标准化方式对实际识别和估计的影响及潜在缺陷;
- 呈现了可实施的估计步骤,针对trans-log和CES生产函数给出估计方法建议。
---
三、图表深度解读
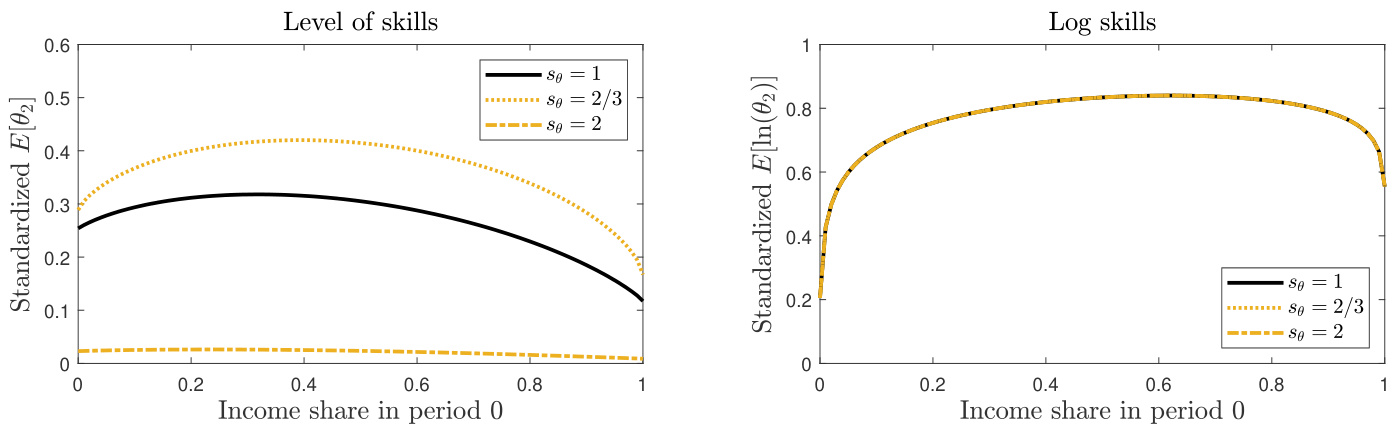
图1(第25页)
- 内容:展示了不同收入分配策略下,技能水平与技能对数的期望变化与最优投资序列;
- 解读:
- 水平技能视角下,不同尺度$ s\theta $ 会导致投资效果和最优收入分配区别极大,表现为收益大小及选择周期完全不同;
- 对数技能视角稳定,不同尺度下曲线重合,证明对数尺度生产函数提供尺度不变的反事实预估;
- 结论联系:量化演示了尺度设定误差可能引发的错误政策建议,支持理论中反事实对数变换更稳健的论断。

---
图2(第34页)
- 内容:不同估计方法及尺度变换下,技能与投资对应的部分导数(边际效应)估计;
- 解读:
- 真实参数与自适应估计器曲线高度重合,表明自适应估计表现优异;
- 传统双步估计器对以$ s\theta=2/3 $和2调整数据极端敏感,导致边际效应过低或过高,尤其是在技能25%和投资75%分位时表现最为明显;
- 联系理论:显示传统归一化尺度法律下估计的非稳健性,强调新估计方法对尺度误设的鲁棒支持文本结论。

---
图3(第35页)
- 内容:不同收入分配累计量对期末技能分位数和投资权重的影响;
- 解读:
- 自适应估计器与真实模型结果接近,表达较合理的均衡投资分配(周期均衡);
- 传统双步估计器误差显著,尺度变化直接导致极端且相互矛盾的投资策略建议;
- 政策含义:尺度敏感导致的误导将在实际干预或资源再分配政策中产生高昂的效率损失。

---
图4(第36页)
- 内容:不同收入干预方案下技能分布的对比,包括补充期收入、平均收入稳定和低技能收入补助;
- 解读:
- 增加收入普遍提升技能分布,特别是低技能群体;
- 平均收入干预收敛技能分布,减小差异;
- 联系实证:揭示技能形成模型在反事实模拟时尺度合理设定的重要性。

---
图5、6、7(第38页至41页)
- 图5:投资对认知技能边际产出,尺度变换导致主结论倒转或减弱;
- 图6:不同尺度下收入转移对技能的影响,尺度敏感使得策略效果失真;
- 图7:基于对数技能和灵活估计的收入转移效应,消除尺度影响,结论稳健。
切换至对数尺度并采用自适应估计显著提升估计稳定性和政策推论的合理性,对用户决策影响重大。[page::38-41]
图示如下:



---
四、估值分析(模型估计与统计特征提取)
报告主要在结构微观计量框架下展开,不涉及公司金融估值法,而是:
- 通过对潜变量的尺度识别与度量,估计技术参数和潜变量分布;
- 采用参数与非参数混合方法(两步估计、混合正态分布等);
- 分析估计器对测量尺度归一化的敏感性;
- 作者提出了新的估计框架,自适应估计潜变量尺度,避免归一化引入的误估和不一致;
- 强调关键政策参数和反事实模拟基于尺度不变特征构建;
- 附录详述了估计具体算法,尤其是对CES和trans-log生产函数的针对性估计方案。
---
五、风险因素评估与模型误设分析
报告揭示:
- 归一化尺度限制如果非真正的规范化,可能导致模型误设;
- 这种误设引发估计器不一致,进而产生偏差的政策反事实,不仅误导场景推演,还易造成高成本决策失误;
- 不同生产函数(特别是CES)对尺度限制的敏感度不同,实践中常用的统一归一化尺度设定风险高;
- 标准化措施、测量误差假设若未充分考虑,也会造成参数估计和反事实推断的多重偏差;
- 报告并未完全提供缓解“模型误设”的策略,但指出采取无归一化或结构自适应识别策略是有效途径。
---
六、批判性视角与细微差别
- 报告中指出,传统因方便起见采用的尺度限制往往缺乏理论基础,未能全方位考量尺度与位置变化对所有政策指标的影响;
- 虽然报告强调部分政策指标在尺度变化下的“不变性”,这依赖于生产函数选择及假设严谨性,实际模型复杂性可能使该“不变性”范围受限;
- 作者提出的灵活估计和综合视角虽提升了识别及估计鲁棒性,但估计方法复杂、数据需求较高,可能影响实务应用推广;
- 一定程度上,模型假设的正当性(如投资内生性处理、测量误差独立性、多时期测量可用性)依旧是约束条件,未全部消除;
- 报告结构严谨,理论证明充分,但涉及多种技术性假设,实际操作时需谨慎理解假设限制与实际数据适配性。
---
七、结论综合
Joachim Freyberger在本报告中对技能形成领域常用的结构模型归一化假设进行了系统审视和理论突破,核心贡献为:
- 明确区分了归一化与限制性假设,提出正规化的严格数学定义;
- 揭示了传统尺度和位置限制往往导致参数误设,特别是在广泛应用的CES生产函数中尤为严重;
- 发现大量核心政策参数及反事实特征在无尺度限制条件下依然点识别且尺度不变;
- 用蒙特卡洛模拟和实际数据实例验证理论,说明尺度误设造成的估计及政策导向误差;
- 设计提出新颖估计方法,兼顾灵活性与稳健性,允许估计潜变量尺度,确保反事实分析的稳健性和政策解释力;
- 强烈建议学界与实务界谨慎检验归一化假设合理性,改用尺度不敏感的政策统计特征增强跨研究的可比性。
整体而言,该报告为结构性技能形成模型的识别、估计、政策模拟提供了理论与实证的双重范式革新,对促进人力资本研究方法论进步及相关政策设计具有深远影响。[page::42]
---
总结:
本分析不仅系统拆解了报告中各个重要论点、数据和假设,也深入解读了全部主要图表,清晰指出了传统归一化的风险与隐患。通过理论定理、实际模拟与数据再估计的结合,报告完全重塑了对技能形成建模中的尺度问题的认识,并提供了切实可行的解决方案。这样的研究可极大提升结构技能经济学模型的科学性和政策适用性。
---
若需针对报告全文的任何部分作更细致的解读或聚焦特定技术点,欢迎进一步指示。