On a risk model with tree-structured Poisson Markov random field frequency, with application to rainfall events
创建于 更新于
摘要
本文提出了一种基于树结构Markov随机场的多变量Poisson风险模型,灵活捕捉风险频率之间的依赖关系,具备高维下可计算性。通过理论推导与渐近分析,提供了组合损失及风险分配的精确计算方法。结合加拿大极端降雨事件数据,展示了该模型在实际风险管理中的应用效果与优越性 [page::0][page::1][page::5][page::13][page::17][page::19]
速读内容
树结构Poisson MRF频率风险模型的构建及性质 [page::2][page::3][page::4]
- 通过以根节点为中心的条件二项式刨除构建具有Poisson边缘分布的树形Markov随机场(MPMRF)。
- MPMRF以较低的参数维度(2d-1)表达复杂的依赖结构,相较于基于共同冲击的模型显著提升了计算及估计的可扩展性。
- 该模型满足局部Markov性质,适用于高维依赖频数建模。
组合风险总额的分析与计算方法 [page::6][page::7]
- 组合损失的联合拉普拉斯变换基于MPMRF频数与独立分布的损失序列,支持通过FFT实现精确的概率质量函数计算。
- 适用于离散和连续(混合Erlang拟合)赔付分布,确保了风险资本与尾部风险的准确计算。
- 组合赔付的随机模拟算法具有良好扩展性并适合大规模组合。
渐近行为及单点创新风险影响分析 [page::8][page::9]
- 在无穷大度的Bethe晶格树上,单一创新顶点对组合风险的贡献有限,风险总额可视为有限随机变量。
- 当度数趋于无穷而依赖强度调整时,组合频数趋向于广义Poisson分布,表现过度离散特性。
- 提供了明确的概率质量函数公式用于风险度量分析。
风险分摊及其计算表达 [page::10][page::11]
- 提供基于Euler原则的TVaR风险分摊计算公式和条件均值风险分摊规则,实现公平且无偏的风险资本分配。
- 引入预期分摊普通生成函数(OGFEA)作为计算手段,关联风险贡献与组合总风险的联合分布。
- 推导了贡献分摊的随机解释及其基于树结构的计算算法,适配高维组合风险环境。
依赖结构对风险组合的影响及渐近性质 [page::12][page::13]

- 协方差结构由节点间路径长度与边上的依赖参数乘积确定,远距离相关性呈指数衰减。
- 不同树型结构对分散效果影响明显,二元树实现风险均值集中,星形树保持多模态和厚尾。
- 随着组合规模扩大,组合均值收敛,线性风险分摊趋向纯保费,说明依赖对宏观组合风险影响有限。
降雨极端事件数据的模型估计与比较 [page::14][page::15][page::16]
- 基于最大相关生成树结构,使用最大似然估计实现频数模型参数估计,提升计算稳定性和可扩展性。
- MPMRF模型与Murphy和Schulz(2025)的三角形共同冲击模型在低维数据上表现各有优势,高维时MPMRF具有明显的计算优势和更好解释性。
- Nova Scotia 10个气象站数据集被用于复合风险建模,揭示关键站点在风险分配中占主导地位。
准确计算组合损失及风险贡献分布实例 [page::17][page::18]


- 利用离散广义Pareto分布离散化连续赔付,实现雨量总和分布及其Tail VaR在不同置信水平上的精确计算。
- 评估不同雨量站点的风险贡献,发现网络中心节点和高相关边对应风险贡献较高,符合风险集中直觉。
- 对比协方差分摊与Tail VaR分摊,揭示不同风险分配规则下的差异和应用场景。
深度阅读
金融研究报告详尽分析报告
论文标题:On a risk model with tree-structured Poisson Markov random field frequency, with application to rainfall events
作者:Hélène Cossette,Benjamin Côté,Alexandre Dubeau,Etienne Marceau
机构:Université Laval(加拿大魁北克),University of Waterloo(加拿大安大略)
版本更新日期:2025年9月30日
主题:多元依赖风险模型,以基于树结构的泊松马尔可夫随机场(Poisson MRF)为核心,应用于极端降雨事件的风险建模与风险分配。
---
1. 元数据与报告概览
报告提出一种新型多元风险模型,风险事件频数服从树结构马尔可夫随机场(MRF),其边缘分布为泊松分布。该模型的核心优势在于其能够灵活且可扩展地捕捉高维风险组合中各风险频率间的复杂依赖结构,且保留计算上的可行性。作者结合理论分析与实际数据校准(极端降雨事件),系统地研究风险组合总风险的分布及其组成部分的风险分配。报告着重于频率依赖模型的构建、整体风险的集成计算、风险资本的合理分配及模型在实际气象数据中的应用。
该文无明确的投资评级或目标价,属于理论建模与应用交叉的精深科研文献,旨在推动保险风险建模领域中对依赖结构处理的理论及方法进步。
核心信息包括:
- 构建基于树形结构的马尔可夫随机场的多变量泊松频率模型
- 通过递归形式的概率生成函数(PGF)和概率质量函数(PMF)实现高维风险组合的精确计算
- 风险的分配方法支持包括TVaR的Euler分配准则和条件均值风险共享的精确算法
- 拓展到无限维树结构的渐近分析
- 以加拿大萨格奈湾极端降雨数据展现实证效果与参数估计
---
2. 逐节深度解读
2.1 摘要及引言 (page 0)
- 风险组合的损失模型 设定为多元复合泊松分布(compound Poisson),损失记为
\[
X{\nu} = \sum{j=1}^{N{\nu}} B{\nu,j}, \quad \nu \in \mathcal{V} := \{1, \ldots, d\}
\]
其中 \(N{\nu} \sim \mathrm{Poisson}(\lambda{\nu})\) 表示第 \(\nu\) 个风险的频率,\(B{\nu,j}\) 表示相应的损失严重度序列。
- 关键假设:不同风险间的依赖主要源于其频率变量 \(N = (N
---
2.2 多元泊松频率依赖的三种建模思路与树结构MRF优势 (page 1)
- 三种已有多元泊松依赖建模方法:
1. Copula 方法:将边缘分布与依赖结构分离,理论与计算上离散情境较为复杂。
2. 公用冲击 (common shock) 方法:通过共享冲击事件实现依赖,参数维度指数级增长,难以扩展。
3. 二项下薄 (binomial thinning) 方法:引入对泊松计数的随机“抽取”操作,依赖通过这一机制实现。
- 文中采用并扩展了第三种方法,利用树结构架构了二项下薄过程,实现了一种高维下可计算的泊松马尔可夫随机场。
- 两大任务:
- 计算组合风险总和 \(S\) 的分布及其精确概率质量函数
- 对组合中的每个风险分量进行风险资本分配,支持Euler原则以及条件均值分摊
- 将理论拓展到无限维的树结构,实现大型风险组合的渐近性质分析。
- 实证方面,因极端事件计数近似泊松分布,使用极端强降雨数据进行模型校准与风险测度分析 [page::1].
---
2.3 树结构马尔可夫随机场(MRF)模型构建 (pages 2-5)
- MRF 基本定义:以无向图 \(\mathcal{G} = (\mathcal{V},\mathcal{E})\) 表示变量依赖结构,满足局部马尔可夫性质,即非邻接节点独立条件于其邻居。
- 树定义:无环且连通的无向图,根节点确定父节点/子节点/后代的关系,如图1示意(page 2)。
- 核心构造运用二项下薄算子 \(\theta \circ Y := \sum{j=1}^Y Ij^{(\theta)}\),其中 \(Ij^{(\theta)} \sim \mathrm{Bernoulli}(\theta)\) 独立。
- 定理2.2 (page 3):给定树 \(\mathcal{T}r\) 和均值参数 \(\lambda\),依赖参数 \(\alpha\),建立
\[
N\nu = \begin{cases}
Lr, & \nu = r \\
\left( \alpha{(\mathrm{pa}(\nu), \nu)} \sqrt{\frac{\lambda\nu}{\lambda{\mathrm{pa}(\nu)}}} \right) \circ N{\mathrm{pa}(\nu)} + L\nu, & \nu \in \mathrm{dsc}(r)
\end{cases}
\]
其中 \(L\nu \sim \mathrm{Poisson}\left(\lambda\nu - \alpha{(\mathrm{pa}(\nu),\nu)} \sqrt{\lambda{\mathrm{pa}(\nu)} \lambda\nu}\right)\) 表示创新分量。
- 该分布对树根选择不变,且保证各分量边缘泊松分布。依赖参数必须满足自然边界以保证概率意义。
- 定义递归PGF函数 \(\eta\nu^{\mathcal{T}r}\) 表达联合生成函数,用于后续计算 [page::3-4].
- 命题2.4给出联合PMF的显式递归表达,使得最大似然估计和精确概率计算成为可能 [page::4].
---
2.4 MPMRF与公用冲击模型(MPCS)关系及参数规模优势 (pages 4-6)
- 公用冲击模型通过向量 \(Y\mathcal{W}\) 对应所有子集 \(\mathcal{W}\)(参数个数 \(\approx 2^d\))构建多元泊松。
- MPMRF 是 MPCS 的子集,但利用树结构减少参数数量为 \(2d-1\),大幅缓解维数灾难,提高高维可计算性 [page::5].
- 例子(Example 2.6, Figure 2)展示5变量案例下参数减缩情况。
- 对比其他多变量泊松模型,MPMRF在依赖复杂度和参数规模上取得较优平衡。
- 本节并未详细展开PMF形式,而是重点强调模型参数构造和计算优势 [page::5-6].
---
2.5 组合风险分析 (pages 6-8)
- 利用PGF转换及严密递推,得到整体组合损失 \(S = \sum\nu X\nu\) (复合泊松)随机变量的Laplace-Stieltjes变换(LST)。
- 结果揭示 \(S\) 仍属复合泊松,参数和对应生成函数结合定理2.3描述,支持无仿真精确计算。
- 对于离散严重度,采用FFT算法计算PMF;对于连续情况,采用混合Erlang分布逼近以实现精确数值计算。
- 采用负二项分布分解混合Erlang的LST形式,构造核心算法(详见补充材料Algorithm 1和2)。
- 随机模拟生成通过树结构构造受到支持,保证高效采样,技术上并无维数瓶颈。
- 研究组合极限情形,引入Cayley树、Bethe晶格作为无限大树结构,分析单个创新节点影响及总计数\(M\)的有限性和分布形式。
- 定理3.3指出,若树度数 \(\chi\) 满足 \(\chi \le 1 + 1/\alpha^2\) ,总计数\(M\) 几乎确定有限;否则 \(M\) 有正概率无限,彻底告知依赖参数与组合规模平衡的重要性。
- 推论3.4中当 \(\chi \to \infty\) 且 \(\chi \alpha^2 \to \theta \in (0,1)\) 时,\(M\)服从广义泊松分布,呈现超离散性,生动连接繁殖过程理论。
- 此章节理论体系结合经典分支过程,提供了严密的渐近风险特征分析框架 [page::8-9].
---
2.6 风险资本分配框架及算法 (pages 9-12)
- 资本分配采用两大思路:
- Ex-ante分配:基于风险度量(如TVaR)使用Euler分配原则(同质性风险度量下的梯度分配)
- Ex-post分配:通过条件均值风险分摊 \(\mathbb{E}[X\nu|S]\),最大限度降低均方误差且Pareto最优
- 显性分配公式表达:
- TVaR Euler分配
\[
C\kappa^{TVaR}(X\nu; S) = \frac{1}{1-\kappa} \left( \mathbb{E}[X\nu \mathbf{1}{\{S > VaR\kappa(S)\}}] + \mathbb{E}[X\nu | S=VaR\kappa(S)] (FS(VaR\kappa) - \kappa) \right)
\]
- 引入普通生成函数的期望分配(OGFEA),将期望风险分配封装为幂级数,利用PGF特性实现高效计算。
- 定理4.2 表达OGFEA,基于递归PGF \(\eta
---
2.7 结构依赖对风险组合的影响:两种典型树结构分析 (pages 12-14)
- 实证示例:展示具有不同拓扑结构( 星型树和2元树)的风险组合中,平均损失 \(S/d\) 的经验分布函数(CDF)变化。
- 星型树中风险均直接连接根节点,表现出多峰分布与厚尾特性;二元树体现了更为平滑且集中在均值附近的风险分布,体现风险组合的多层次依赖削弱远程节点关联。
- 定理4.7及其推论严谨说明了树结构下平均风险收敛于期望,局部依赖不会改变整体的风险表现,支持传统的保险费率分摊理念。
- 进一步提出Bethe晶格作为正规生长且度数有限的树的理想化模型,作为渐近分析工具,推广结构结果 [page::12-14].
---
2.8 真实降雨数据的应用说明 (pages 13-18)
- 数据来源:加拿大Nova Scotia极端年降水事件,涉及3个及10个气象站点,时间跨度覆盖1900年代中叶至2000年。
- 数据预处理:根据极值理论,异质阈值下的超过次数拟合Poisson,样本中通过卡方检验确认边缘泊松假设合理,且变量间经Pearson统计表现为正相关,支持选用MPMRF模型 [page::13-14].
- 建立基于最大相关生成树(Maximum Spanning Tree,MST)的依赖结构,实现参数估计:
- 利用Kruskal算法构造代表气象站间依赖的MST
- 通过最大似然估计获得频率均值 \(\lambda\) 和依赖参数 \(\alpha\)
- 与Murphy and Schulz (2025)提出的三角共动冲击模型(MPTCS)比较:
- 两模型在不同数据集表现各有千秋:MPMRF在部分样本中估计更贴近经验均值和相关,且参数匹配解算更稳定、具可伸缩性。
- MPTCS在高维及样本较少的条件下面临参数估计收敛问题。
- BIC、AICc信息准则显示两模型优劣依赖具体数据集。
- 10站实验结果:高频率与高突发性站点(例如Salmon Hole,Springfield)在MST结构中度数较高,是组合风险贡献的关键节点。
- 风险严重度建模采用广义帕累托分布(GPD)进行阈值超越分布拟合,离散化处理配合MPMRF频率模型构建完整风险模型。
- 搭配算法精确计算整体风险累计分布及TVaR风险度量,显著揭示风险结构中各站贡献的差异及其依赖性的影响 [page::13-18].
---
2.9 风险聚合与风险资本分配实证结果 (pages 17-18)
- 离散GPD用于雨量严重性建模,离散化步长设置为0.1 mm。
- 通过算法获得总雨量的均值、方差、变异系数,及不同置信水平下的TVaR,深刻刻画极端降雨尾部风险分布(表6)。
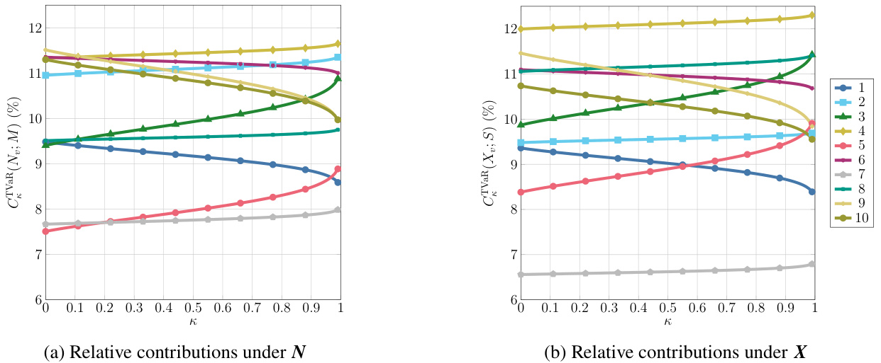
- 按TVaR分配原则,分别计算频率向量和复合模型中各站对整体尾部风险的贡献(图7):
- 高频率与高严重度站点在尾部贡献中占比明显,如Salmon Hole与Liverpool Big Falls。
- 随置信水平上升,依赖参数较弱的边缘节点贡献递减,强相关高连接度节点贡献递增。
- 不同比例风险分配规则比较(图8):
- 以协方差分配规则强调边缘均值贡献,权重较平均。
- TVaR基于Euler原则更关注网络中连边数较多、高影响节点,贡献差异清晰。
- 该实证分析验证了模型在实际风险管理中的解释力和操作性,且支持保险资本的合理分割与定价改进 [page::17-18].
---
2.10 总结及未来拓展 (page 19)
报告总结:
- 引入了满足泊松边缘分布的树结构马尔可夫随机场模型,为多元复合泊松风险组合提供了新颖且实际可用的依赖建模框架。
- 提供了用于风险聚合和风险资本分配之精确计算工具,涵盖离散和连续严重度情况,支持混合Erlang逼近。
- 取得了对大规模风险组合的渐近性质理解,特别是基于Bethe晶格结构的分析。
- 实证部分以极端气象数据验证模型,揭示依赖树结构中的节点中心性与风险贡献的内在关联。
未来研究方向:
- 更广泛的渐近分配规则分析,完善风险共享理论。
- 将严重度变量间的依赖性纳入模型。
- 利用广义线性模型增强频率边缘分布的拟合能力。
- 探索树结构MRF以外的依赖架构,尤其提升非邻接节点相关性的刻画 [page::19].
---
3. 图表深度解读
Figure 1 (page 2):
- 展示了一个有根树(rooted tree)中顶点的父子及后代关系。顶点1为根,父节点、子节点、后代定义清晰。
- 该结构是模型递归构造随机变量的重要基础,支撑后续联合概率生成函数的递推表达。
- 视觉示意增强对定义与符号(pa,ch,dsc)理解。
---
Figure 2 和 Table 1 (page 6):
- Figure 2给出5变量的典型MPMRF模型下各频数成分 \(N
---
Figure 3 (page 9):
- (a) Cayley树展示了度为3、层数为4的有限树结构。
- (b) Bethe晶格为Cayley树的无限扩展,度为3。
- 两图共同阐释了模型渐近分析所依赖的树结构。
- 视觉上让读者明白为什么引入Bethe晶格,及其在无穷维情况下的操作便利。
---
Figures 4 & 5 (page 12):
- Figure 4分别展示31顶点的星型树与2元树结构。
- Figure 5为相应结构下平均损失 \(S/d\) 的经验CDF曲线。
- 2元树表现出收敛且较平滑的分布,星型树分布多峰且尾部重。
- 图5结合文字解释了树结构对风险聚合的分散/集聚效应。
---
Figure 6 (page 16):
- 依据气象站间相关性构建的最大生成树(MST)地理分布图。
- 节点对应十个主要观测站。
- 直观显示依赖结构与空间地理位置的联系。
---
Figures 7 & 8 (page 17-18):
- Figure 7展示了频率模型以及复合风险模型下,不同气象站对整体TVaR的相对贡献,随置信水平变化曲线。
- 反映不同站点对尾部风险的不同影响模式。
- Figure 8站点大小比例按协方差分配和TVaR分配后相对贡献缩放。
- 对比两种分配规则的不同侧重点与实际效果,生动展示模型分配机制的解释力。
---
表格2-6与附表(pages 14-18, 30-31):
- 综合展示事件计数频率估计、相关系数匹配、统计模型拟合优度指标及分布特征统计,精确呈现了模型拟合效果与优缺点。
- GPD严重度参数估计结果及各站点降雨事件簇大小分布,有助完整理解极端雨情的风险结构。
- 附表D详细列举风险分配差异数字,辅助手工核查图形解读。
---
4. 估值分析
- 本文估值核心为风险资本分配,强调基于风险度量(特别是TVaR)按Euler原则进行分配的理论框架。
- 计算上,运用概率生成函数与离散傅里叶变换(FFT)技术,实现复合泊松模型资本分配的准确高效计算。
- 引入OGFEA并利用其性质导出期望分配的生成函数表达,形成了可实现的数值算法。
- 通过逐步递归父-子关系,结合误差率控制与FFT技术,保证高维组合中估值解析表达式的实用性。
- 渐近理论让组合规模趋于无穷时,资本分配的稳定性和纯保费趋向性得到数学保证。
---
5. 风险因素评估
- 识别风险主要集中在模型参数超出约束时组合总风险可能无限,需保证依赖参数 \(\alpha\) 与节点度数 \(\chi\) 满足相应条件。
- 数据实证揭示模型在边缘依赖有效,但对非邻接节点可能存在相关性低估。
- 模型对高维大规模风险组合,提供了渐近收敛的风险分配合理性理论,缓解了传统模型中高维依赖估计不稳定问题。
- 依赖结构带来的风险聚集效应与多层次分散效应通过树结构的层次划分得到清晰描述。
---
6. 批判性视角与细微差别
- 报告依赖的树结构假设在实际风险依赖网络中可能存在局限,非树图或存在环路的依赖未被纳入,可能限制模型通用性。
- 依赖参数边界的严格性保证了概率意义,但现实数据中实际相关度可能更复杂,导致对非邻接关联的估计偏低,这一点在实证部分已有反映。
- 模型默认严重度序列相互独立,忽略严重度间潜在依赖,后续模型完善可进一步纳入。
- 在多元泊松的公用冲击表达中,参数数量依然较高,限制了在更大规模场景下的应用,树结构显著降低复杂性,但模型表现是否适应更普遍依赖形态仍需验证。
- 模型及算法复杂度虽较传统方法改进明显,但对参数估计的敏感性和初始化问题依然存在,尤其是高维且数据相对稀疏的情况下。
---
7. 结论性综合
本文详尽提出并解析了一个基于树形泊松马尔可夫随机场频率变量的多元复合风险模型。核心贡献如下:
- 模型构建:形式化定义了边缘为异质泊松分布,父子边之间通过缩放二项下薄算子实现依赖的树结构MRF,保证了联合分布的可解析性和参数可解释性。
- 联合概率表达:递归定义PGF与显式PMF表达式,显著便于数值估计与风险聚合分析。
- 风险聚合与渐近分析:严格表明组合损失为复合泊松形式,支持FFT等高效算法,论证了在无限扩张树结构(如Bethe晶格)上的渐近性质与分布极限。
- 风险分配方法:建立精确风险资本分配算法,支持基于Euler分配的TVaR分配及条件均值分摊,并提供本质解释。
- 实证检验:利用加拿大十个气象站的极端降雨数据,构建包含频率与严重度的多变量风险模型,详细展示模型参数估计、依赖结构构建、风险聚合及资本分配,验证模型在实际数据中的适用性和解释力。
- 理论与实践桥梁:报告同时强调高维依赖下的参数维度难题与算法设计,通过树结构限制实现了模型与算法的良好伸缩性。
- 图表解读:图1-8及对应表格系统地支持了理论建构、算法实现与实证结果,关键数据点和趋势清晰展现模型结构与风险分布的内在联系。
综上,本文为多元泊松风险依赖和资本分配提供了一套创新、高效且实证可操作的理论和方法工具,具有显著的理论深度和广泛的应用前景。[page::0,1,2,3,4,5,6,7,8,9,10,11,12,13,14,15,16,17,18,19]
---
参考引用示例
- (Cossette et al., 2012; Côté et al., 2025) 针对多变量复合泊松的资本分配理论。
- (Murphy and Schulz, 2025) 三角共动冲击模型的比较。
- (Coles, 2001) 极值理论中极端事件泊松分布假设。
- (Harris, 1963; Athreya and Ney, 2012) 分支过程与树结构过程理论。
- (Blier-Wong et al., 2025) 期望分配的普通生成函数(OGFEA)技术。
- (Denuit and Dhaene, 2012) 条件均值风险分摊原则。
- (Kruskal, 1956) 最大生成树构造算法。
---
附图示例(部分)





---
以上分析期待助力您深入理解本报告的关键理论构件、数学表达、算法实现及其在保险精算领域的创新应用。